М
Молодежь
К
Компьютеры-и-электроника
Д
Дом-и-сад
С
Стиль-и-уход-за-собой
П
Праздники-и-традиции
Т
Транспорт
П
Путешествия
С
Семейная-жизнь
Ф
Философия-и-религия
Б
Без категории
М
Мир-работы
Х
Хобби-и-рукоделие
И
Искусство-и-развлечения
В
Взаимоотношения
З
Здоровье
К
Кулинария-и-гостеприимство
Ф
Финансы-и-бизнес
П
Питомцы-и-животные
О
Образование
О
Образование-и-коммуникации
Chika200616
Chika200616
22.10.2021 20:26 •  Математика

: 1) 7 (x - 5) = 63 2) 24 (x + 15) = 432 решите С ПРОВЕРКОЙ

👇
Ответ:
норрд
норрд
22.10.2021

1) 7(х-5)=63

7х-35=63

7х=63+35

7х=98

х=14

ответ: 14

Пошаговое объяснение:

ы

всё проверенно пиши

4,4(17 оценок)
Ответ:
romanova385
romanova385
22.10.2021

Пошаговое объяснение:

1)

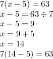
7(x - 5) = 63 \\ x - 5 = 63 \div 7 \\ x - 5 = 9 \\ x = 9 + 5 \\ x = 14 \\ 7(14 - 5) = 63

2)

24(x + 15) = 432 \\ x + 15 = 432 \div 24 \\ x + 15 = 18 \\ x = 18 - 15 \\ x = 3 \\ 24(3 + 15) = 432

4,4(79 оценок)
Открыть все ответы
Ответ:
emilsalimov
emilsalimov
22.10.2021
ПРОЕКТ «Мой родной город Кувандык» Аннотация к проекту. Ведущим  замыслом  проекта, является  приобщение ребенка к культуре  своего народа;   пополнить  знания   детей о  городе,  в  котором  мы  живем,   воспитывать уважение  к его   традициям  и  обычаям,   развивать  потребность детей в  освоении окружающего мира путем  изучения  культурного  наследия, с участием  родителей.                          Учитывая,  значимость  данной  проблемы  основной  целью  проекта,   является систематизация знаний о родном городе. Практическая      значимость    проекта     предусматривает      диагностическую деятельность,     тематическое    планирование,    создание       развивающей   среды, разработка дидактических игр по ознакомлению с городом, составление анкеты для родителей «Формирование у детей патриотического воспитания». Итоговым    продуктом  проекта  является  презентация  уголка  краеведения   в группе  «Мой  любимый   Кувандык».  Оформление   альбома   «Мой край родной», изготовление альбома совместно с  родителями «Семейный герб». Проект    представлен    на    педагогическом    совете    ДОУ и муниципальном методическом объединение воспитателей групп по подготовке детей к школе Кувандыкского района. «Родина для человека – самое дорогое и священное, без чего человек перестаёт быть личностью» В.А. Сухомлинский   В дошкольном возрасте начинает формироваться чувство патриотизма: любовь и привязанность к Родине, преданность ей, ответственность за неё, желание трудиться на благо, беречь её богатства. Базовым этапом формирования у детей любви к Родине следует считать накопление ими социального опыта жизни в своём городе, приобщение к миру его культуры. Любовь к Отчизне начинается с любви к своей малой Родине - месту, где человек родился.   Актуальные проблемы. В данном проекте речь пойдёт о значении истории родного города и его влияние на патриотическое воспитание дошкольников. Успешность развития дошкольников при знакомстве с родным городом возможна только при условии активного взаимодействия с окружающим миром эмоционально практическим путём, т.е. через игру, предметную деятельность, общение, труд, обучение, разные виды деятельности, свойственные дошкольному возрасту. Поэтому с детьми проводился целый ряд различных мероприятий: -     участвовали в театрализованной деятельности, -     играли в сюжетно-ролевые и дидактические игры по ознакомлению с родным городом -     составляли творческие рассказы, вместе с родителями сочиняли сказки, стихи о родном городе -     занимались художественно-продуктивной деятельностью (рисовали, конструировали)  -     ходили на экскурсии в краеведческий музеи и Храм города, совершали целевые прогулки к достопримечательностям города.
4,8(79 оценок)
Ответ:
akyjla551
akyjla551
22.10.2021
ПРОЕКТ «Мой родной город Кувандык» Аннотация к проекту. Ведущим  замыслом  проекта, является  приобщение ребенка к культуре  своего народа;   пополнить  знания   детей о  городе,  в  котором  мы  живем,   воспитывать уважение  к его   традициям  и  обычаям,   развивать  потребность детей в  освоении окружающего мира путем  изучения  культурного  наследия, с участием  родителей.                          Учитывая,  значимость  данной  проблемы  основной  целью  проекта,   является систематизация знаний о родном городе. Практическая      значимость    проекта     предусматривает      диагностическую деятельность,     тематическое    планирование,    создание       развивающей   среды, разработка дидактических игр по ознакомлению с городом, составление анкеты для родителей «Формирование у детей патриотического воспитания». Итоговым    продуктом  проекта  является  презентация  уголка  краеведения   в группе  «Мой  любимый   Кувандык».  Оформление   альбома   «Мой край родной», изготовление альбома совместно с  родителями «Семейный герб». Проект    представлен    на    педагогическом    совете    ДОУ и муниципальном методическом объединение воспитателей групп по подготовке детей к школе Кувандыкского района. «Родина для человека – самое дорогое и священное, без чего человек перестаёт быть личностью» В.А. Сухомлинский   В дошкольном возрасте начинает формироваться чувство патриотизма: любовь и привязанность к Родине, преданность ей, ответственность за неё, желание трудиться на благо, беречь её богатства. Базовым этапом формирования у детей любви к Родине следует считать накопление ими социального опыта жизни в своём городе, приобщение к миру его культуры. Любовь к Отчизне начинается с любви к своей малой Родине - месту, где человек родился.   Актуальные проблемы. В данном проекте речь пойдёт о значении истории родного города и его влияние на патриотическое воспитание дошкольников. Успешность развития дошкольников при знакомстве с родным городом возможна только при условии активного взаимодействия с окружающим миром эмоционально практическим путём, т.е. через игру, предметную деятельность, общение, труд, обучение, разные виды деятельности, свойственные дошкольному возрасту. Поэтому с детьми проводился целый ряд различных мероприятий: -     участвовали в театрализованной деятельности, -     играли в сюжетно-ролевые и дидактические игры по ознакомлению с родным городом -     составляли творческие рассказы, вместе с родителями сочиняли сказки, стихи о родном городе -     занимались художественно-продуктивной деятельностью (рисовали, конструировали)  -     ходили на экскурсии в краеведческий музеи и Храм города, совершали целевые прогулки к достопримечательностям города.
4,6(7 оценок)
Это интересно:
Новые ответы от MOGZ: Математика
logo
Вход Регистрация
Что ты хочешь узнать?
Спроси Mozg
Открыть лучший ответ