М
Молодежь
К
Компьютеры-и-электроника
Д
Дом-и-сад
С
Стиль-и-уход-за-собой
П
Праздники-и-традиции
Т
Транспорт
П
Путешествия
С
Семейная-жизнь
Ф
Философия-и-религия
Б
Без категории
М
Мир-работы
Х
Хобби-и-рукоделие
И
Искусство-и-развлечения
В
Взаимоотношения
З
Здоровье
К
Кулинария-и-гостеприимство
Ф
Финансы-и-бизнес
П
Питомцы-и-животные
О
Образование
О
Образование-и-коммуникации
Давиденко
Давиденко
27.04.2023 01:28 •  Математика

Розв'яжіть рiвняння:

9x(x-2) + 14 = (3x-2)(3x+2)

👇
Ответ:
кукла221
кукла221
27.04.2023

Відповідь:

Покрокове пояснення:

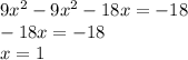
розкриваємо дужки отримаєм

9x^{2} -18x+14=9x^{2} -4

9x^{2} -9x^{2} -18x=-18\\-18x=-18\\x=1

4,6(100 оценок)
Открыть все ответы
Ответ:
izabella131313
izabella131313
27.04.2023

1.7+5,23=12,23     (2)

29,8-8=21,8          (3)

16,6/0,2=83          (4)

7,5 * 0,4=3            (2)

Найдите   15%   от   800.

15%=0,15

800*0,15=120    (2)

6.  Среди чисел    0,0072     0,013     0,009     0,0017     укажите наименьшее.

4) 0,0017.

7.  Выполни действия  81517- 21417+ 1917=62017

8.  Найдите корень уравнения:  25х + 49 = 149

25х=149-49

25х=100

х=100/25=4     2) 4

9.

(40,4+2)*4+(40,4-2)*3=153,6+115,2=268,8км

ответ: 268,8км

10.

70:2=35градусов

ответ:35 градусов

11.

9;4

Удачи

Надеюсь поставишь:ЛУЧШИЙ ОТВЕТ!

Пошаговое объяснение:

4,7(31 оценок)
Ответ:
Violent111
Violent111
27.04.2023

Пошаговое объяснение:

Площа проекції: Sп = \sqrt{p*(p-a)*(p-b)*(p-c)}

p∗(p−a)∗(p−b)∗(p−c)

, де

a, b, c -- сторони, а p -- півпериметр трикутника, що є проекцією.

р = \frac{13+14+15}{2}

2

13+14+15

= 21 см

Sп = \sqrt{21*(21-13)*(21-14)*(21-15)}

21∗(21−13)∗(21−14)∗(21−15)

= \sqrt{21*8*7*6}

21∗8∗7∗6

= \sqrt{3*7*2^{3}*7*2*3}

3∗7∗2

3

∗7∗2∗3

= \sqrt{3^{2}*7^{2}*2^{4}}

3

2

∗7

2

∗2

4

= 3·7·4 = 84 cм²

Sп = S·cos α, де α -- кут між площиною трикутника і площиною проекції.

Тоді S = Sп/cos α:

S = 84/cos 60° = \frac{84}{\frac{1}{2} } } = 84·2 = 168 cм²

4,8(37 оценок)
Новые ответы от MOGZ: Математика
logo
Вход Регистрация
Что ты хочешь узнать?
Спроси Mozg
Открыть лучший ответ