
Для чего нужно знать агроному количество погонных метров в гектаре? Для быстрой и правильной установки нормы высева, для подсчета количества вредителей, для определения зараженности растений болезнями, даже можно вести глазомерный учет сорняков в посевах. Это удобно и эффективно. Исключен риск ошибок. Расчет количества погонных метров в одном гектаре производится очень В одном гектаре 10000 квадратных метров, ширина междурядья для зерновых и зернобобовых - 12, 5см, 15см, 20см, 30см, для узкорядного посева трав - 7, 5см, для пропашных культур - 45см, 70см, 140см. В зависимости от культуры и типа сеялки ширина междурядья может быть различной. Чтобы определить количество погонных метров в одном гектаре, нужно 10000 квадратных метров разделить на ширину междурядья. К примеру для зерновых с междурядьем 15см, 10000:0, 15м=66666 погонных метров, для сахарной свеклы, картофеля с междурядьем 45см, 10000:0, 45м=22222 погонных метра, для кукурузы, подсолнечника с междурядьем 70см, 10000:0, 7=14285 погонных метров. Теперь, зная норму высева культуры на гектар, легко рассчитать количество семян на один погонный метр. К примеру, норма высева озимой пшеницы установлена в 5, 4млн. шт/га. Делим норму высева 5, 4млн. шт. /га на количество погонных метров в одном гектаре, 66666, получаем 81 зерно на один погонный метр.
Проверить количество высеянных зерен можно с метра, рулетки, в крайнем случае, при отсутствии измерительных приборов - на один шаг. Для этого нужно сеялку протащить по твердому покрытию. Если нет такой возможности, необходимо раскопать посеянный рядок и подсчитать количество зерен на один погонный метр и сравнить с расчетной нормой высева. Можно также поддомкратить сеялку и прокрутить колесо в расчете на 1/100га(666 погонных метров), затем взвесить полученное количество зерен, разделить на массу 1000 семян и узнаем количество зерен на 666 погонных метров или на 1 метр. Легко достоверно. Особенно точно нужно рассчитывать норму высева у пропашных культур, семена очень дорогие, урожай зависит от правильной расстановки растений в рядке, поэтому без перевода площади в погонные метры не обойтись. Вспоминаю выражение одного моего бывшего директора, по подсолнечнику был великий "спец", "я знал, что норму высева нужно считать на 14000 метров, а вот 14285метров слышу впервые". Разница в расчете между 14000 и 14285 погонных метров небольшая, всего 2, 4%, при урожайности подсолнечника 30цн/га составит 72кг/га, а со 100га недоберем 7200кг. Если потерю 7200кг умножим на цену реализации в 21000руб/тн, получится 151200 рублей. Вот такая цена ошибки неправильного расчета нормы высева. Легко считать через погонные метры заселенность растений вредной черепашкой, пьявицей, тлей, луговым мотыльком, другими вредителями по рядку, посчитал, записал данные, не нужно накидывать и держать рамку. В заключение скажу, что не верьте агрономам, которые высевают семена на вес. Его спрашиваешь, сколько сеешь на метр, а он говорит 220 кг/га. И если в хозяйстве 7-8 сортов, у каждого разная масса 1000 семян, возникают большие сомнения, что 7-8 раз этот агроном будет прокручивать сеялку. В условиях поля проще подсчитать количество семян на один погонный метр. Агрономы из компании "Мироновский хлебопродукт" считают количество высеянных семян пропашных культур на 14метров 28сантиметров несколько раз в день. Поэтому и урожаи радуют.
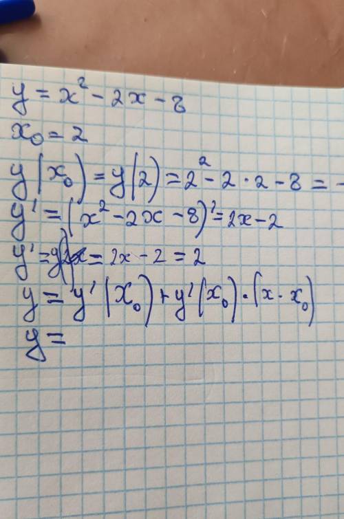
Пошаговое объяснение что не перевела
Войти
АнонимМатематика14 апреля 00:39
Подарок упакован в коробку, которая имеет форму прямоугольного параллелепипеда. Длина двух сторон грани основания — 7
см и 9 см, длина бокового ребра коробки — 16 см. Определи необходимую длину ленты для упаковки, если для завязывания банта уйдет 31 см ленты.
ответ или решение1
Носова Мария
Даны: длина = 7 см, ширина = 9 см, высота = 16 см.
Лента при упаковки обычной коробки, обматывается два раза - по периметру фронтальной и боковой грани коробки.
И дополнительно завязывается бант.
Прямоугольник фронтальной грани коробки образован длиной и высотой коробки, а его периметр равен 50 см.
1) 2 * (9 + 16) = 2 * 25 = 50 (см) периметр фронтальной грани.
Прямоугольник боковой грани коробки образован шириной и высотой коробки, а его периметр равен 46 см.
2) 2 * (7 + 16) = 2 * 23 = 46 (см) периметр боковой грани.
3) 50 + 46 + 31 = 127 (см) длина ленты с учетом банта.
ответ: 127 см.