М
Молодежь
К
Компьютеры-и-электроника
Д
Дом-и-сад
С
Стиль-и-уход-за-собой
П
Праздники-и-традиции
Т
Транспорт
П
Путешествия
С
Семейная-жизнь
Ф
Философия-и-религия
Б
Без категории
М
Мир-работы
Х
Хобби-и-рукоделие
И
Искусство-и-развлечения
В
Взаимоотношения
З
Здоровье
К
Кулинария-и-гостеприимство
Ф
Финансы-и-бизнес
П
Питомцы-и-животные
О
Образование
О
Образование-и-коммуникации
усенок
усенок
20.05.2020 04:58 •  Математика

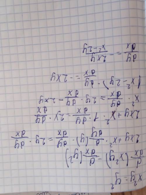
Указать тип дифферениальных уравнений и найти решение.
x^2*y''=(y')^2

👇
Ответ:
timadva
timadva
20.05.2020

.................... ................


Указать тип дифферениальных уравнений и найти решение. x^2*y''=(y')^2
4,7(98 оценок)
Открыть все ответы
Ответ:
alinakozina879
alinakozina879
20.05.2020
Богатырская тема с давних пор звучала в русском искусстве. Мы часто встречались с ней в народном творчестве, поэзии, музыке, живописи, театре, кино. Это от того, что с древних времен со всех концов на Русь наступали враги, пытались завладеть нашими землями, богатствами, поработить наш народ. Образ богатыря и родился в русском искусстве, как образ могучего защитника Родины. Давайте подумаем, а что означает слово Богатырь!  И так БОГАТЫРЬ. С кем ассоциируется это слово (составление кластера, актуализация знаний)
Симфонический оркестр – это самый полный и совершенный по звучанию среди всех оркестров. Звучит фрагмент симфонии у которой два названия- Вторая  или Богатырская А.Бородина.
4,5(30 оценок)
Ответ:
Кот15150019
Кот15150019
20.05.2020
Алкоголь содержит этанол, который влияет на ЦНС. Чрезмерное употребление алкоголя приводи к алкоголизму. У людей, которые часто пьют пиво, особенно у мужчин, происходят изменения в гормонах. У них начинает расти грудь как у женщин, появляется живот. Также, при вскрытии умерших людей часто употребляющих алкоголь замечено так называемое "бычье сердце". Это когда сердце в 3-4 раза больше обычного здорового сердца. Оно как бы обрастает жировой тканью. Также у людей употребляющих алкоголь рождается больное потомство. Дети рождаются с патологиями сердца, например пороки сердца или отсутствие межжелудочковой перегородки сердца. Также у людей страдает печень ⇒ отсюда цирроз печени. В общем можно сказать что организм гниет изнутри, хотя внешне ничего этого не выдает.  

Наркотики – это вещества, которые очень вредно действуют на организм человека, одурманивают его. Человек становится как бы заколдованным, когда начинает их употреблять их, он сам себе не хозяин. Это так называемые наркотические вещества. Ему уже не хочется заниматься любимым делом, все неинтересно, человек не может учиться, работать, просто гулять. Он только все время думает о том, где взять наркотики.Человек, который начал принимать наркотики, сразу привыкает к ним, теряет волю.Те, кто не прекращает употреблять наркотики, умирает от мучительных, страшных болей. У человека, употребляющего наркотические вещества, нарушается ориентация в пространстве, его мучают кошмары, страхи. Друзья и близкие прекращают с ним общаться.

Токсикомания – это болезнь, возникающая в результате употребления веществ, вызывающих кратковременное чувство приятного психического состояния. Человек становится раздражительным, злобным, угрюмым, все время ждет каких – то неприятностей. У него трясутся руки, портится почерк, речь становится несвязной, спутанной. Постепенно он деградирует, как личность, у него окончательно расстраивается память, гаснет интеллект. Ему мерещатся всякие страхи, состояние тревожное. Серьезные последствия токсикомании для состояния внутренних органов : развиваются различные заболевания легких и желудочно-кишечного тракта, поскольку токсичные компоненты «сжигают» слизистые оболочки почки выходят из строя. При передозировке, возможны летальные исходы.

Какие вредные вещества содержатся в алкоголе и наркотиках. и какие органы от этого. кровь и т.п..
Какие вредные вещества содержатся в алкоголе и наркотиках. и какие органы от этого. кровь и т.п..
4,7(93 оценок)
Это интересно:
Новые ответы от MOGZ: Математика
logo
Вход Регистрация
Что ты хочешь узнать?
Спроси Mozg
Открыть лучший ответ