М
Молодежь
К
Компьютеры-и-электроника
Д
Дом-и-сад
С
Стиль-и-уход-за-собой
П
Праздники-и-традиции
Т
Транспорт
П
Путешествия
С
Семейная-жизнь
Ф
Философия-и-религия
Б
Без категории
М
Мир-работы
Х
Хобби-и-рукоделие
И
Искусство-и-развлечения
В
Взаимоотношения
З
Здоровье
К
Кулинария-и-гостеприимство
Ф
Финансы-и-бизнес
П
Питомцы-и-животные
О
Образование
О
Образование-и-коммуникации
Panovamasha33
Panovamasha33
30.04.2021 17:23 •  Математика

На зошити Марійка витратила 25 грн, що становить 20 % усіх її грошей. Скільки грошей було в Марійки спочатку? решите

👇
Ответ:
foma2280
foma2280
30.04.2021

Пошаговое объяснение:

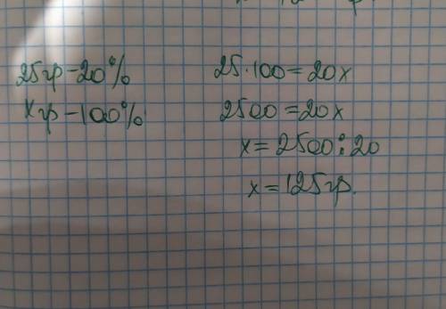
25 грн - 20 %

х грн   - 100%

х= 25 * 100% : 20%

х= 125 грнбудо у Марійки спочатку

4,8(3 оценок)
Ответ:
Попорпо
Попорпо
30.04.2021

125гр


На зошити Марійка витратила 25 грн, що становить 20 % усіх її грошей. Скільки грошей було в Марійки
4,5(60 оценок)
Открыть все ответы
Ответ:
Choch121
Choch121
30.04.2021

Пошаговое объяснение:

(1)

((13-2 2\3*1 1\4 * 9\10)*(2\3:4\9-0,5): 3 1\7): 3 2\11  = 1

1) 2 2/3 * 1 1/4 = 8/3 * 5/4 = 10/3

2) 10/3 * 9/10 = 3

3) 13 - 3 = 10


4) 2/3 : 4/9 = 2/3 * 9/4 = 3/2 = 1,5

5) 1,5 - 0,5 = 1

6) 10 * 1 = 10

7) 10 : 3 1/7 = 10 : 22/7 = 10 * 7/22 = 35/11

8) 35/11 : 3 2/11 = 35/11 : 35/11 = 1

ответ: 1

(2)

(( 2 1\4 * 1 1\9* 4\15 - 1\3)*(9- 6\7:3\14)+ 2 1\3)* 17 1\4 = 69

1) 2 1/4 * 1 1/9 = 9/4 * 10/9 = 5/2

2) 5/2 * 4/15 = 2/3

3) 2/3 - 1/3 = 1/3


4) 6/7 : 3/14 = 6/7 * 14/3 = 4

5) 9 - 4 = 5

6) 1/3 * 5 = 5/3 = 1 2/3

7) 1 2/3 + 2 1/3 = 4

8) 4 * 17 1/4 = 4 * 69/4 = 69

ответ: 69

4,4(100 оценок)
Ответ:
лаллах12
лаллах12
30.04.2021

Если описывать максимально сокращенно правила этой игры, можно выделить следующие моменты: Спортсмены делятся на две игровые группы по шесть человек. Победа присуждается команде, набравшей 25 очков. Один бал начисляется в таких случаях: После касания мяча территории площадки соперника. Если проведена неудачная подача противником в сетку или аут. При касании спортсменом из другой команды сетки. Если соперником произведен заступ на чужую половину площадки. При пересечении лицевой линии во время подачи мяча. В случае четвертого или более касаний командой-соперником или двойного одним игроком. Один матч длится три партии, каждая – до 25 очков. Если у команд по игра длится до преимущества в два очка.

Защита                                                                                                                  Немаловажную роль в этом виде спорта играет защита. Основная задача при этом – довести мяч до связующего игрока. Это нужно выполнить максимально качественно, чтобы обеспечить последующее развитие новой атаки. Принимать подачи могут все волейболисты команды, соблюдая рациональность и аккуратность. Задержка мяча или неправильная постановка рук при приеме чревата получением очка командой противника. Были попытки ввести правило о первом касании при приеме исключительно руками снизу. Однако данная рекомендация не прижилась. Кроме того, игроки могут принимать мяч головой или ногой.

Розыгрыш                                                                                                             Этот момент имеет множество нюансов, как и во многих игровых видах спорта. Среди них выделим следующие особенности: undefined Ни одна из команд не имеет права выполнить более трех касаний во время розыгрыша. Не допускается любое касание сетки. Волейболисты задней линии могут атаковать только со своей зоны, в противном случае засчитывается заступ. Один участник команды не имеет права делать более двух касаний мяча. Нельзя брать мяч в руки, переходить на сторону соперника, отвлекать судью разговорами или жестами. Категорически не допускается нанесение ударов и прочих физических контактов с соперником.

НАРУШЕНИЕ                                                                                                    Касание мяча более трех раз во время розыгрыша игроками одной команды. Аналогичное нарушение двойным касанием одним участником. Цепляние сетки. Заступ волейболистом задней линии при атаке. Задержка мяча или его двойное касание при приеме. При подаче чаще всего встречаются следующие нарушения: undefined Заступ ногой на территорию площадки (подача производится за ее границами). Подбрасывание и последующее удержание мяча в руках. Выполнение подачи до свистка рефери. Не проведение маневра в течение восьми секунд после сигнала (право на выполнение переходит к другой команде).

4,5(88 оценок)
Это интересно:
Новые ответы от MOGZ: Математика
logo
Вход Регистрация
Что ты хочешь узнать?
Спроси Mozg
Открыть лучший ответ