М
Молодежь
К
Компьютеры-и-электроника
Д
Дом-и-сад
С
Стиль-и-уход-за-собой
П
Праздники-и-традиции
Т
Транспорт
П
Путешествия
С
Семейная-жизнь
Ф
Философия-и-религия
Б
Без категории
М
Мир-работы
Х
Хобби-и-рукоделие
И
Искусство-и-развлечения
В
Взаимоотношения
З
Здоровье
К
Кулинария-и-гостеприимство
Ф
Финансы-и-бизнес
П
Питомцы-и-животные
О
Образование
О
Образование-и-коммуникации
mitienko811
mitienko811
05.08.2022 08:02 •  Математика

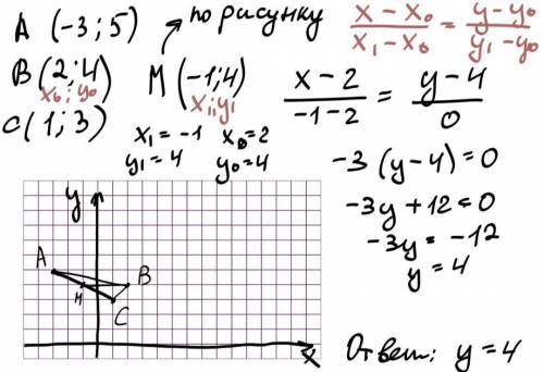
, с подробным решением и объяснением! точки А(-3;5), В(2;4), С(1;3) - вершины треугольника АВС. Составьте уравнение прямой, содержащей медиану ВМ треугольника АВС

👇
Ответ:
en228
en228
05.08.2022

Был ищо вариант увидеть что по рисунку м параллельная х и по решению просто пощитать чему равен у. Но это безотказный вариант)


, с подробным решением и объяснением! точки А(-3;5), В(2;4), С(1;3) - вершины треугольника АВС. Сост
4,4(65 оценок)
Открыть все ответы
Ответ:
adam80
adam80
05.08.2022

1. Умивайтеся вранці і ввечері, використовуйте засоби особистої гігієни.

2. Чистіть зуби не менше 3 хвилин. Ваша зубна щітка не повинна бути занадто м’якою.

3. Завжди мийте руки перед їжею, після прогулянки і туалету.

4. Майте завжди чисту носову хустку або одноразові серветки.

5. Для їжі користуйтеся тільки своїм посудом, не беріть брудних тарілок, ложок, чашок.

6. Для пиття води використовуйте одноразові стаканчики. Не залишайте використані стаканчики, викидайте їх у відро для сміття.

7. Слідкуйте за чистотою свого одягу, взуття.

8. Не ходіть в одному і тому ж взутті на вулиці, в школі і вдома. Вдома носіть м’яке домашнє взуття, для спортивних занять використовуйте спортивне взуття.

9. Допомагайте вчителю і черговим у підтриманні порядку в класі, допомагайте рідним у домашньому прибиранні.

10. Дотримуйтесь режиму дня!

4,4(73 оценок)
Ответ:
Kotazzz
Kotazzz
05.08.2022

добывание пищи и воды

человеку, оказавшемуся в условиях автономного существования, надо предпринимать самые энергичные меры для обеспечения себя питанием с сбора съедобных дикорастущих растений, , охоты,  т.е. использовать все, что дает природа. на территории нашей страны произрастает свыше 2000 растений, частично или полностью пригодных в пищу. при сборе растительных даров надо соблюдать осторожность. около 2% растений могут вызвать тяжелые, и даже смертельные отравления. для отравления необходимо различать такие ядовитые растения, как вороний глаз, волчье лыко, вех ядовитый (цикута), белена горькая и др. пищевые отравления вызывают ядовитые вещества, содержащиеся в некоторых грибах: бледной поганке, мухоморе, ложном опенке, ложной лисичке и др. от употребления незнакомых растений, ягод, грибов лучше воздержаться. при вынужденном использовании их в пищу рекомендуется съесть за один раз не более 1 - 2 г пищевой массы, при возможности запивая большим количеством воды (растительный яд, содержащийся в такой пропорции, не нанесет организму серьезного вреда). подождать 1 -2 часа. если нет признаков отравления (тошноты, рвоты, боли в животе, головокружения, расстройств кишечника), можно съесть дополнительно 10 - 15г. через сутки можно есть без ограничений. косвенным признаком съедобности растения могут служить: плоды, поклеванные птицами; множество косточек, обрывки кожуры у подножья плодовых деревьях; птичий помет на ветках, стволах; растения, обглоданные животными; плоды, обнаруженные в гнездах и норах. незнакомые плоды, луковицы, клубни и т.п. желательно проварить. варка уничтожает многие органические яды. в условиях автономного существования , , наиболее доступный способ обеспечить себя питанием. рыба обладает большей энергетической  ценностью, чем растительные плоды, и менее трудоемко, чем охота. рыболовную снасть можно изготовить из подручных материалов: леску – из распущенных шнурков ботинок, нити, вытащенной из одежды, расплетенной веревки, крючки - из булавок, сережек, заколок от значков, «невидимок», а блесны - из металлических и перламутровых пуговиц, монет и т.п.

мясо рыбы допустимо есть сырым, но лучше нарезать его на узкие полоски, высушить их на солнце, так оно станет вкуснее и дольше сохраниться. во избежание отравления рыбой надо соблюдать определенные правила. нельзя есть рыб, покрытых колючками, шипами, острыми наростами, кожными язвами, рыб, не покрытых чешуей, лишенных боковых плавников, имеющих необычный вид и яркую окраску, кровоизлияния и опухоли внутренних органов. нельзя есть несвежую рыбу - с жабрами, покрытыми слизью, с провалившимися глазами, дряблой кожей, с неприятным запахом, с грязной и легко отделяющейся чешуей, с мясом, легко отстающим от костей и особенно от позвоночника. незнакомую и сомнительную рыбу лучше не есть. не следует также употреблять рыбью икру, молоки, печень, т.к. они часто бывают ядовитыми.

охота - наиболее предпочтительный, в зимнее время единственный способ обеспечить себя питанием. но в отличие от охота требует от человека достаточного умения, навыков, больших трудозатрат.

мелких животных и птицу добывать сравнительно не трудно. для этого можно использовать ловушки, силки, петли и другие приспособления. добытое мясо зверька, птицы поджаривают на примитивном вертеле. мелких животных, птиц жарят на вертеле, не снимая шкурки и не ощипывая. после приготовления обуглившаяся шкурка удаляется, и тушка очищается от внутренности. мясо более крупной дичи целесообразно после потрошения и очистки обжечь на сильном огне, а затем дожаривать на углях. реки, озера, ручьи, болота, скопление воды на отдельных участках почвы обеспечивают людей необходимым количеством жидкости для  питья и приготовления пищи.

воду из ключей и родников, горных и лесных речек и ручьев можно пить сырой. но прежде чем утолить жажду водой из стоячих или слабопроточных водоемов, ее следует очистить от примесей и обеззаразить. для очистки легко изготовить простейшие фильтры из нескольких слоев ткани или из пустой консервной банке, пробив в донышке 3 - 4 небольших отверстия, а затем заполнив песком. можно выкопать неглубокую ямку в полуметре от края водоема, и она через некоторое время наполнится чистой, прозрачной водой. самый надежный способ обеззараживания воды - кипячение. в случае отсутствия посуды для кипячения подойдет  примитивный короб из куска березовой коры при условии, что пламя будет касаться только той части, что наполнена водой. можно вскипятить воду, опустив деревянными щипцами в берестяной короб нагретые  камни.

4,6(63 оценок)
Это интересно:
Новые ответы от MOGZ: Математика
logo
Вход Регистрация
Что ты хочешь узнать?
Спроси Mozg
Открыть лучший ответ