М
Молодежь
К
Компьютеры-и-электроника
Д
Дом-и-сад
С
Стиль-и-уход-за-собой
П
Праздники-и-традиции
Т
Транспорт
П
Путешествия
С
Семейная-жизнь
Ф
Философия-и-религия
Б
Без категории
М
Мир-работы
Х
Хобби-и-рукоделие
И
Искусство-и-развлечения
В
Взаимоотношения
З
Здоровье
К
Кулинария-и-гостеприимство
Ф
Финансы-и-бизнес
П
Питомцы-и-животные
О
Образование
О
Образование-и-коммуникации
kristinabuslae
kristinabuslae
22.09.2020 10:44 •  Математика

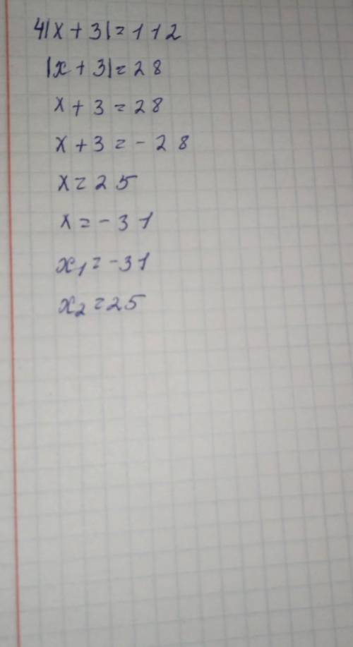
. Решите уравнение: 4 | x + 3|=112

👇
Ответ:
kiktev
kiktev
22.09.2020

ответ:27,25

Пошаговое объяснение:

4x=112-3

4x=109

x=27,25

4,5(70 оценок)
Ответ:
Zippergorskii
Zippergorskii
22.09.2020

в


. Решите уравнение: 4 | x + 3|=112
4,6(76 оценок)
Открыть все ответы
Ответ:
хомячок48
хомячок48
22.09.2020

ПЕРВЫЙ ВАРИАНТ РЕШЕНИЯ

Пусть х км/час – скорость второго легкового автомобиля.

За 7 часов первый автомобиль проехал: 

S (расстояние) =v (скорость)*t (время)=110*7=770 км

Второй автомобиль за 7 часов проехал 7х км

Составим уравнение:

770+7х=1400

7х=1400-770

7х=630

х=90 км/час – скорость второго автомобиля.

ответ: скорость второго автомобиля составляет 90 км/ч.

ВТОРОЙ ВАРИАНТ

Пусть х км/час – скорость второго легкового автомобиля.
Общая скорость двух автомобилей составляет (х+110) км/ч.
Составим уравнение:
 v*t=S
(х+110)*7=1400
7х+770=1400
7х=630
 х=90
 ответ: скорость второго автомобиля составляет 90 км/ч.
4,8(29 оценок)
Ответ:
2703200096358246
2703200096358246
22.09.2020
1)  2х-2-3х-6<6+х
      -х-8 =0         6+х=0
         -х=8         х=-6
          х=-8                    -8 < -6      верно
2)7у+21-2у-4>10у+2
  7у+21-2у-4=0     10у+2=0
  5у+17=0                10у=-2
    5у=-17                   у=-0,2
       у=-3.4                                      -3.4>-0.2     неверно  
3)  18+30у-2-2у<20+15у
       16+28у <15у-20
 16+28у=0          15у-20=0
28у=-16                15у=20
         у=-0,57                     у=1,3          -0,57<1.3     верно
4)12у-4-3у+3 > 6+2у 
9у-1=0               6+2у=0
9у=1                      2у=-6
у=0,1                         у=-3                         0,1>-3       верно
4,4(83 оценок)
Это интересно:
Новые ответы от MOGZ: Математика
Полный доступ к MOGZ
Живи умнее Безлимитный доступ к MOGZ Оформи подписку
logo
Вход Регистрация
Что ты хочешь узнать?
Спроси Mozg
Открыть лучший ответ