ответ

объяснение на фото
Пошаговое объяснение:
1) При делении с остатком , остаток всегда меньше делителя .
Значит при делении на 4 остаток может быть 0;1;2;3
правильный ответ : 3
2) При делении меньшего числа на большее неполное частное всегда равно нулю, а остаток равен делимому.
7 : 9
7 - делимое
9 - делитель , значит
7 : 9 = 0 ( остаток 7)
правильный ответ : 2
3) Чтобы найти делимое , надо неполное частное умножить на делитель и прибавить остаток
? : 11 = 6 ( ост. 4)
6*11+4=66+4=70
правильный ответ : 1
4) Число ? , делится на 8 без остатка , на 7 с остатком 5 , на 6 с остатком 4.
Число должно быть четным и оканчиваться на 0 ( чтоб получить остаток 5)
Подходит число 40
40 : 8 = 5 ( ост.0)
40:7=5 (ост.5)
40:6=6 ( ост. 4)
правильный ответ: 3
5) 50 : ? = 8 ( ост.2)
Для того, чтоб узнать какое число делится без остатка на делитель , надо из делимого вычесть остаток
50-2=48
48:?=8
?=48:8=6 - искомый делитель
проверим
50:6= 8 ( остаток 2)
правильный ответ : 2
6) При делении меньшего числа на большее неполное частное всегда равно нулю, а остаток равен делимому.
Значит делимое , которое равно остатку, будет 4
4 : 5 = 0 ( ост. 4)
правильный ответ : 3
Пошаговое объяснение:
1) При делении с остатком , остаток всегда меньше делителя .
Значит при делении на 4 остаток может быть 0;1;2;3
правильный ответ : 3
2) При делении меньшего числа на большее неполное частное всегда равно нулю, а остаток равен делимому.
7 : 9
7 - делимое
9 - делитель , значит
7 : 9 = 0 ( остаток 7)
правильный ответ : 2
3) Чтобы найти делимое , надо неполное частное умножить на делитель и прибавить остаток
? : 11 = 6 ( ост. 4)
6*11+4=66+4=70
правильный ответ : 1
4) Число ? , делится на 8 без остатка , на 7 с остатком 5 , на 6 с остатком 4.
Число должно быть четным и оканчиваться на 0 ( чтоб получить остаток 5)
Подходит число 40
40 : 8 = 5 ( ост.0)
40:7=5 (ост.5)
40:6=6 ( ост. 4)
правильный ответ: 3
5) 50 : ? = 8 ( ост.2)
Для того, чтоб узнать какое число делится без остатка на делитель , надо из делимого вычесть остаток
50-2=48
48:?=8
?=48:8=6 - искомый делитель
проверим
50:6= 8 ( остаток 2)
правильный ответ : 2
6) При делении меньшего числа на большее неполное частное всегда равно нулю, а остаток равен делимому.
Значит делимое , которое равно остатку, будет 4
4 : 5 = 0 ( ост. 4)
правильный ответ : 3
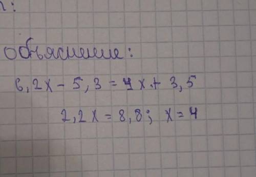
х=4
Пошаговое объяснение:
6,2x-5,3=4x+3,5
2,2х=8,8; х=4