М
Молодежь
К
Компьютеры-и-электроника
Д
Дом-и-сад
С
Стиль-и-уход-за-собой
П
Праздники-и-традиции
Т
Транспорт
П
Путешествия
С
Семейная-жизнь
Ф
Философия-и-религия
Б
Без категории
М
Мир-работы
Х
Хобби-и-рукоделие
И
Искусство-и-развлечения
В
Взаимоотношения
З
Здоровье
К
Кулинария-и-гостеприимство
Ф
Финансы-и-бизнес
П
Питомцы-и-животные
О
Образование
О
Образование-и-коммуникации
Kykyshonochek1305
Kykyshonochek1305
17.03.2022 19:51 •  Математика

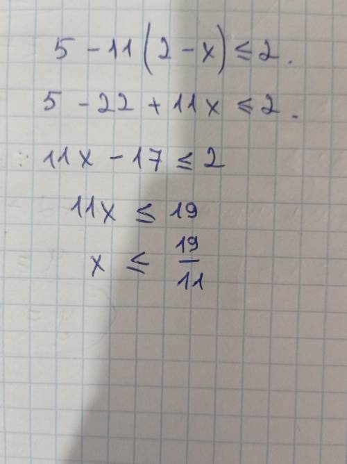
Решите неравенство: 5-11(2-х)≤2

👇
Ответ:
cacalohgf
cacalohgf
17.03.2022

смотрите на фото


Решите неравенство: 5-11(2-х)≤2
4,7(13 оценок)
Ответ:
NikaName007
NikaName007
17.03.2022

В решении.

Пошаговое объяснение:

Решите неравенство:

5 - 11(2 - х) ≤ 2

Раскрыть скобки:

5 - 22 + 11х <= 2

Привести подобные:

11х - 17 <= 2

11x <= 2 + 17

11x <= 19

x <= 19/11  (дробь)

Решения неравенства: х∈(-∞; 19/11].

Неравенство нестрогое, скобка квадратная, а знаки бесконечности всегда под круглой скобкой.

4,4(11 оценок)
Открыть все ответы
Ответ:
bilkosha2005
bilkosha2005
17.03.2022
Сможет. Длина прыжка кузнечика 5 единиц. Он может прыгнуть в любом направлении от точки 0 координатного луча на 5 единичных отрезков. Для того, чтобы из точки 0 попасть в точку 4,  кузнечику достаточно 3-х прыжков. Как он это сделает - см. рисунок в приложении. Для тех, кто знаком с окружностью и радиусом, подробное объяснение. Пусть он прыгнет вверх на 5 единиц. .Это будет точка К-1.  Из этой точки в любую сторону сможет прыгнуть опять же на 5 единиц. Если из точки 4 провести отрезок длиной 5 единиц до пересечения с воображаемой окружностью,  до  границ которой из точки К-1 кузнечик  может допрыгнуть, то это будет точка К-2. Вот туда кузнечик прыгнет, а оттуда на расстояние 5 единиц попадет в точку 4. 
4,4(12 оценок)
Ответ:
l0958626315
l0958626315
17.03.2022
4/9(8.1-3.6x)=2.1(5/7-3/7x); 4/9* 81/10- 4/9* 36/10х= 21/10* 5/7- 21/10* 3/7х; сокращаем 2/1* 9/5- 2/1* 4/5х= 3/2* 1/1- 3/10* 3/1х; 18/5- 8/5х= 3/2- 9/10х; 18/5- 3/2= 8/5х- 9/10х; (18*2)/10- (3*5)/10= (8*2)/10х- 9/10х; 36/10- 15/10= 16/10х- 9/10х; 21/10=7/10х; х=21/10: 7/10; х=21/10* 10/7; х= 3/1* 1/1; х=3. ответ: Х=3. Проверка; 4/9(8.1-3.6x)=2.1(5/7-3/7x; -->>4/9(8.1-3.6*3)=2.1(5/7-3/7*3); 4/9*(8,1-10,8)= 2,1*(5/7-9/7); 4/9*(-2,7)= 2,1*(-4/7); 4/9* (-27/10)= 21/10* (-4/7); 2/1*(-3/5)= 3/5* (-2/1); (-6/5)= (-6/5).
4,6(32 оценок)
Это интересно:
Новые ответы от MOGZ: Математика
logo
Вход Регистрация
Что ты хочешь узнать?
Спроси Mozg
Открыть лучший ответ