М
Молодежь
К
Компьютеры-и-электроника
Д
Дом-и-сад
С
Стиль-и-уход-за-собой
П
Праздники-и-традиции
Т
Транспорт
П
Путешествия
С
Семейная-жизнь
Ф
Философия-и-религия
Б
Без категории
М
Мир-работы
Х
Хобби-и-рукоделие
И
Искусство-и-развлечения
В
Взаимоотношения
З
Здоровье
К
Кулинария-и-гостеприимство
Ф
Финансы-и-бизнес
П
Питомцы-и-животные
О
Образование
О
Образование-и-коммуникации
fistahka336
fistahka336
22.08.2020 15:05 •  Математика

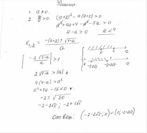
Найти все значения a, при которых уравнение a|x+2| + x = 2a имеет ровно два корня.

👇
Ответ:
DYUK1s
DYUK1s
22.08.2020

Відповідь:

(-2-2√5:0)∪(0;-2+2√5

Покрокове пояснення:


Найти все значения a, при которых уравнение a|x+2| + x = 2a имеет ровно два корня.
4,5(42 оценок)
Открыть все ответы
Ответ:
Jicker
Jicker
22.08.2020
1) 40832 + 400 = 41232 - ОТВЕТ А
2) 184+47=231 - ОТВЕТ В
3) 603-216=387 - ОТВЕТ Б
4) 207*43=8901 - ОТВЕТ Б
5) 20675:75=275 - ОТВЕТ В
6) нет знаков
7) нет знаков
8) 25*60=1500 - ОТВЕТ Г
9) 855:7=122 - ОТВЕТ В (125)
10) 36 : 1/4 = 144 - ОТВЕТ В
11) нет рисунка
12) 14670 - ОТВЕТ Б
13) 63х >601 - ОТВЕТ В
14) 6570 - ОТВЕТ А
15) 40:2 >30:3 - ОТВЕТ Г
16) треугольник - ОТВЕТ А
17) 100-95=5 - ОТВЕТ Б
18) нет
19) 24 км*2=48 км - ОТВЕТ В
20) 21:7=3 - ОТВЕТА
21)  5*9
22) 5, 15, 25 - ОТВЕТ Б
23) 1275:75=170(ост.7) - ОТВЕТ Г
24) 1000:100=10 - ОТВЕТ В
25) Х=114*52 - ОТВЕТ А
4,6(16 оценок)
Ответ:
mt111
mt111
22.08.2020

Пошаговое объяснение:

пусть стороны треугольника х и у высота h , h⊥x

построим 2 перпендикулярные прямые пересекающиеся в точке О

на горизонтальной прямой  а от точки О отложим вправо отрезок равный стороне треугольника х

на вертикальной прямой b от точки О отложим вверх высоту h к этой стороне

через вершину высоты проведем прямую c параллельную а

построим окружность с центром в точке О и радиусом равным стороне у треугольника

w(O,у) ∩ с=С

соединим С с концами стороны х

получим искомый треугольник

примечание

при построении использовались элементарные построения

перпендикулярные и параллельные прямые они есть в любом учебнике или интернете


Постройте треугольник, две стороны которого равны двум отрезкам, а высота к одной из этих сторон рав
4,4(70 оценок)
Это интересно:
Новые ответы от MOGZ: Математика
logo
Вход Регистрация
Что ты хочешь узнать?
Спроси Mozg
Открыть лучший ответ