М
Молодежь
К
Компьютеры-и-электроника
Д
Дом-и-сад
С
Стиль-и-уход-за-собой
П
Праздники-и-традиции
Т
Транспорт
П
Путешествия
С
Семейная-жизнь
Ф
Философия-и-религия
Б
Без категории
М
Мир-работы
Х
Хобби-и-рукоделие
И
Искусство-и-развлечения
В
Взаимоотношения
З
Здоровье
К
Кулинария-и-гостеприимство
Ф
Финансы-и-бизнес
П
Питомцы-и-животные
О
Образование
О
Образование-и-коммуникации
nastyarudckina
nastyarudckina
24.03.2023 03:19 •  Математика

Фастом сделайте, очень нужно решение

👇
Ответ:
SuperChelovek
SuperChelovek
24.03.2023

дивіться фото


Фастом сделайте, очень нужно решение
4,4(98 оценок)
Ответ:
Lasnochas
Lasnochas
24.03.2023

Вітаю.

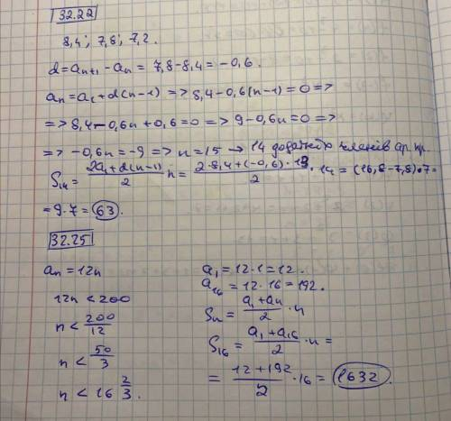
32.22 . 63

32.25. 163

Розв'язання завдання додаю.




Фастом сделайте, очень нужно решение
4,6(11 оценок)
Открыть все ответы
Ответ:
Artem12309
Artem12309
24.03.2023
Основными причинами возникновения лесных пожаров являются: неосторожное обращение с огнем в лесу и несоблюдение работающими в лесу лесозаготовительными организациями, в особенности при огневой очистке лесосек, Правил пожарной безопасности; искры, вылетающие из незащищенных дымовых труб паровозов, или шлак, выброшенный из паровозной топки на полотно железной дороги, проходящей через лес, очень часто приводят также к возникновению лесных пожаров; несоблюдение мер предосторожности колхозниками при проведении сельскохозяйственных палов на полях колхозов вблизи лесных насаждений. Лесные и сельскохозяйственные рабочие, пастухи, охотники, рыболовы, сборщики ягод и грибов часто разводят в лесу костры и, оставляя их непотушенными, уходят, бросают непогашенные спички и окурки, в результате чего возникают лесные пожары; наконец, в редких случаях имеют место умышленные поджоги леса и пожары, возникшие от молний.
4,6(49 оценок)
Ответ:
serdecsofia
serdecsofia
24.03.2023
Основными причинами возникновения лесных пожаров являются: неосторожное обращение с огнем в лесу и несоблюдение работающими в лесу лесозаготовительными организациями, в особенности при огневой очистке лесосек, Правил пожарной безопасности; искры, вылетающие из незащищенных дымовых труб паровозов, или шлак, выброшенный из паровозной топки на полотно железной дороги, проходящей через лес, очень часто приводят также к возникновению лесных пожаров; несоблюдение мер предосторожности колхозниками при проведении сельскохозяйственных палов на полях колхозов вблизи лесных насаждений. Лесные и сельскохозяйственные рабочие, пастухи, охотники, рыболовы, сборщики ягод и грибов часто разводят в лесу костры и, оставляя их непотушенными, уходят, бросают непогашенные спички и окурки, в результате чего возникают лесные пожары; наконец, в редких случаях имеют место умышленные поджоги леса и пожары, возникшие от молний.
4,8(100 оценок)
Новые ответы от MOGZ: Математика
logo
Вход Регистрация
Что ты хочешь узнать?
Спроси Mozg
Открыть лучший ответ