Пошаговое объяснение:
Итак, в данном задании нам нужно выразить определенные единицы измерения через определенные величины измерения:
1) Выразить 8 метров кубических 4 дециметра кубических и 6 сантиметров кубических в кубических сантиметрах:
8 м³ + 4 дм³ + 6 см³ = 8 * 1000 дм³ + 4 дм³ + 6 см³.
8 * 1000 дм³ + 4 дм³ + 6 см³ = 8000 дм³ + 4 дм³ + 6 см³.
8000 дм³ + 4 дм³ + 6 см³ = 8004 дм³ + 6 см³.
8004 дм³ + 6 см³ = 8004 * 1000 см³ + 6 см³.
8004 * 1000 см³ + 6 см³ = 8004000 см³ + 6 см³.
8004000 см³ + 6 см³ = 8004006 см³.
1. Смотри, противоположными называются два числа, которые отличаются друг от друга только знаком, вот что получилось:
а) 50
б) -25
в) 1
2. Тут тоже очень легко, отрицательное число тем меньше, чем больше его значение без знака минус (т.е. модуль).
а)-95<-10
б)-16<0
3. Здесь мы получим следующее (Думаю поймешь почему, если непонятно, пиши, я расскажу):
а) -76 и -74
б) -2 и 0
4. а) -16+9=-(16-9)=-7
б)-7+7= 0
в) -6+(-12)=-6-12=-18
5. а) 8-(-8) = 8+8 = 16
б) 0-11=-11
в) -14-3= -(14+3) = -17
6. а)8*(-7)=-(8*7) = -56
б)-4*(-9) = 4*9=36
в)-7*0 = 0
7. а)-24:6=-(24:6)=-4
б)33:(-1)= -33
в) -18:(-6) = 18:6=3
8. а)7-10+31 = 38-10 =28
б) (-4)³= -4³ = -(4*4*4) = -64
9. Нужно записать числа от меньшего к большему:
-12, -6, -5, 0, 5, 9
10. Что значит представить -180 в виде произведения четырех целых чисел? Это значит, что нужны четыре числа, при умножении которых получается исходное число (т.е. 180). Вот так:
-180=(-9)*2*2*5
11. Подставляем данные числа в выражение. Заменяем буквы a, b и c, на числа 8, 7 и 20. Получим следующее:
8-(7-20)=8-(-13)=8+13=21
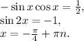
5)
Пошаговое объяснение:
Если
получаем уравнение
при этом
удовлетворяют условию
а
— не удовлетворяют.
Если
аналогично:
Из найденных корней только
удовлетворяет условию 
Таким образом, решения нашего уравнения