М
Молодежь
К
Компьютеры-и-электроника
Д
Дом-и-сад
С
Стиль-и-уход-за-собой
П
Праздники-и-традиции
Т
Транспорт
П
Путешествия
С
Семейная-жизнь
Ф
Философия-и-религия
Б
Без категории
М
Мир-работы
Х
Хобби-и-рукоделие
И
Искусство-и-развлечения
В
Взаимоотношения
З
Здоровье
К
Кулинария-и-гостеприимство
Ф
Финансы-и-бизнес
П
Питомцы-и-животные
О
Образование
О
Образование-и-коммуникации
premium79
premium79
27.07.2021 11:28 •  Математика

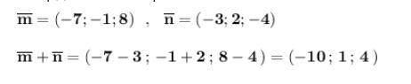
Дано вектори m(-7;-1;8) і n(-3;2;-4) знайдіть координати вектора m+n

👇
Ответ:

Координаты суммы векторов равны сумме соответствующих координат векторов .

\bf \overline{m}=(-7;-1;8)\ \ ,\ \ \overline{n}=(-3;2;-4)overline{m}+\overline{n}=(-7-3\, ;\, -1+2\, ;\, 8-4\, )=(-10\, ;\, 1\, ;\, 4\, )  

ответ:  №2 .


Дано вектори m(-7;-1;8) і n(-3;2;-4) знайдіть координати вектора m+n
4,5(97 оценок)
Открыть все ответы
Ответ:
Dariya078
Dariya078
27.07.2021
События Куликовской битвы.Начало битвы.

Год Куликовой битвы: 1380 г.

На рассвете 8 сентября 1380 года русский монах Александр Пересвет и монгольский воин Челубей по традиции сошлись в битве один на один. Бой не принес победу ни одному из них — смертельно ранив друг друга копьями, оба воина пали. И тогда монгольское войско и дружина Дмитрия Донского, благословленная Сергием Радонежским, начали битву.

Засадный полк.

Хотя русские войска сражались храбро, по численности монголы значительно их превосходили. Уже начинало казаться, что Мамай одержит победу в этом бою — но Дмитрий Донской полагался не только на мужество своих воинов, но и на хитрую тактику.

В засаде был оставлен полк из более десяти тысяч воинов под командованием Дмитрия Боброка. В самый тяжелый момент сражения конница неожиданно вылетела из леса. Решив, что это подоспели к полю битвы основные силы русских, монголы обратились в бегство.

После этого боя князь Дмитрий Иванович и получил прозвище, под которым вошел в историю — «Донской» (Куликовское поле находится неподалёку от реки Дон).

Итоги и историческое значение Куликовской битвы.

Несмотря на то, что татаро-монгольское иго продержалось на Руси еще ровно сто лет, Куликовская битва имела огромное значение для народа. После нее стало понятно, что Золотая Орда не является непобедимой, что ее можно сломить, и что обретение Русью свободы — только вопрос времени.

4,5(84 оценок)
Ответ:
galejyan2005
galejyan2005
27.07.2021

 Щоб я зробив якби був призедентом щоб дітям було цікаво навчатися       

  Якби я був призедентом я б хотів би зробити навчання дітей більш цікавішим.

Спочатку потрібно построїти ігровий майданчік, щоб діти могли гратися на свіжому повітрі і отримати від перерви найбільше задоволення.  Є одне але, якщо дуже погана погода вчителі забороняють виходити на вулицю тому, що діти можуть захворіти. Тому потрібно зробити велику залу щоб діти могли добре погратися і у школі під час поганої погоди. Уроки потрібно зробити більш цікавими вигадати якусь навчальну гру щоб дітям було цікаво навчатися. Також потрібно виділяти іноді з бюджета країни гроші щоб заохочувати дітей. Наприклад зайняв 1, 2, 3, місце у якійсь олімпіаді тобі дають декілька цукерок, книгк або дешеву але якісну іграшку.    

4,4(85 оценок)
Новые ответы от MOGZ: Математика
logo
Вход Регистрация
Что ты хочешь узнать?
Спроси Mozg
Открыть лучший ответ