М
Молодежь
К
Компьютеры-и-электроника
Д
Дом-и-сад
С
Стиль-и-уход-за-собой
П
Праздники-и-традиции
Т
Транспорт
П
Путешествия
С
Семейная-жизнь
Ф
Философия-и-религия
Б
Без категории
М
Мир-работы
Х
Хобби-и-рукоделие
И
Искусство-и-развлечения
В
Взаимоотношения
З
Здоровье
К
Кулинария-и-гостеприимство
Ф
Финансы-и-бизнес
П
Питомцы-и-животные
О
Образование
О
Образование-и-коммуникации
тагієва
тагієва
03.08.2022 00:25 •  Математика

Толиному дедушке сейчас 90 лет. когда толиному отцу было столько лет, сколько сейчас маме, то тогда маме было вдвое меньше лет, чем сейчас отцу. когда маме стане столько жеи лет, сколько отцу теперь то в сумме их новые возраста дадут возраст деда. если возраст толи умножить на возраст мамы, то получится тоже возраст деда. сколько лет толе

👇
Ответ:
катерина424
катерина424
03.08.2022
Чтобы все это стало понятно --- можно расположить все числа на числовой прямой... 
из фразы: "отцу было столько лет, сколько сейчас маме" --- понятно, что отец старше мамы...
||||
     толя (т)      мама (м)       отец (о)        дед (д)
"когда отцу было столько лет, сколько сейчас маме" --- очевидно, что это было 
(о-м) лет назад...
"тогда маме было вдвое меньше лет, чем сейчас отцу" --- сейчас отцу (о) лет, 
сейчас маме (м) лет, тогда маме было (м - (о-м)) лет
2*(м-о+м) = о
4м = 3о
"когда маме стане столько же лет, сколько отцу теперь" --- очевидно, что это будет через (о-м) лет... маме будет (о) лет, отцу будет (о + (о-м)) лет 
о + (о + о - м) = д
3о - м = д
т*м = д
т = д / м
во второе уравнение подставим первое... 3о - м = 4м = м = 3м = д
т = 3м / м = 3 (года Толе)))
4,4(87 оценок)
Ответ:
Spasibousjsjswj
Spasibousjsjswj
03.08.2022
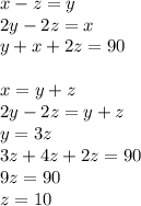
Пусть возраст отца сейчас равен x-лет , возраст матери сейчас равен y-лет. Тогда пусть z лет назад x-z=y ; 2(y-z)=x
Решим систему 
x-z=y\\ 2y-2z=x\\ y+x+2z=90\\\\ x=y+z\\ 2y-2z=y+z\\ y=3z\\ 3z+4z+2z=90\\ 9z=90\\ z=10
то есть матери сейчас 30 лет , то отцу 40 лет , а Толику \frac{90}{30}=3 года 
4,7(100 оценок)
Открыть все ответы
Ответ:
kura2165
kura2165
03.08.2022
Турецкие завоевания в Крыму — военное покорение Османской империей государств и колоний вКрыму в 1475 году. Южнобережный Крым, а также стратегически важнаяКерчь-Еникальская территория вошли в состав собственно Османской империи. Степная и предгорная части стали ядром Крымского ханства, находившегося в вассальной зависимости от Порты.Кючук-Кайнарджийский мирный договор 1779 года положил конец османскому правлению на полуострове.
Летом 1475 года турки-османы, захватившие территории бывшейВизантийской империи, высадили большой десант Гедик Ахмед-паши в Крыму и Приазовье, захватив все генуэзские крепости (в том числеТану на Дону) и греческие города, включив их в состав Османского государства.

В июле был осаждён Мангуп. Ворвавшись в город, турки уничтожили почти всех жителей, разграбили и сожгли постройки. Всё население Мангупа — 15 тысяч человек — было либо убито, либо уведено в Константинополь. Феодоро было завоёваноосманскими войсками под командованием Гедик Ахмед-паши. При этом, во время осады Мангупафеодоритами, в составе которых был военный отряд из трёхсот воинов, присланных молдавским господаремСтефаном III Великим, был перебит весь янычарский корпус, существовавший в тот период в Османской империи.

В 1475 году турки вели войну с крымским ханом Менгли Гиреем и принудили его признать себя зависимым от султана. В 1478 годуКрымское ханство сталопротекторатом Османской империи. При этом климатически благоприятный Южнобережный Крым, а также стратегически важная Керчь-Еникальская территория вошли в состав собственно Османской империи.

На землях княжества Феодоро и завоёванных генуэзских колоний капитанства Готия был создан турецкий Мангупский кадылык, входивший в состав эялета(провинции) Кефе с центром в Кафе (Феодосии). Османы содержали там свои гарнизоны, чиновничий аппарат и строго взимали налоги. Земли домена султана, на которых проживало христианское население, находились вне юрисдикции крымских ханов. Татарам даже было запрещено на них селиться. Длительный административный раздел полуострова на собственно османскую и автономную крымскую части обусловил различный этногенез и различную языковую типологию северных и южных групп крымских тюрок. Население ЮБКсостояло в основном из новоприбывших турок-мусульман[1], а также итальянцев, армян, греков, готов, которыe со временем тюркизировались. Несмотря на языковую тюркизацию, часть этих народов сохранила христианское вероисповедание. Остатки монголо-татар сохранили свои полуавтономные владения в предгорном и степном Крыму (Крымское ханство), однако и там главенствующие над ними турки построили крепости Ор (Перекоп),Арабат, Еникале, Гезлев, в которых содержали постоянные гарнизоны[2].

Победы в Крыму имели для турок большое военное значение, так каккрымские татары доставляли им вс войско, по временам в 100 тысяч человек, но впоследствии столкнули Турцию сРоссией и Польшей. Кючук-Кайнарджийский мирный договор1779 года положил конец османскому правлению на полуострове: согласно ему,Керченский полуостров вошёл в состав Российской империи, а оставшуюся территорию включило в свой состав независимое Крымское ханство, которое в 1783 году также было аннексировано Российской империей.
4,8(9 оценок)
Ответ:
dashaskulova
dashaskulova
03.08.2022
Задача №1.
1)30*3=90(км)-расстояние,которое нужно сократить катеру.2)75-30=45(км/ч)-разница в скорости.3)90:45=через 2часа катер  догонит теплоход 4)75*2=150(км)-расстояние от пристани.                                    х - время в пути катерах*75 - расстояние , которой пройдет катер(х+3)*30 - расстояние, которое пройдет теплоход Эти расстояния равны между собой (они катер должен догнать теплоход)75*х=(х+3)*3075х=30х+9045х=90х=2 часа. через два часа катер догонит теплоход.(2+3)*30=2*75=150 км - расстояние от пристани до катера и теплохода.ответ.2 часа, 150км
4,6(85 оценок)
Новые ответы от MOGZ: Математика
logo
Вход Регистрация
Что ты хочешь узнать?
Спроси Mozg
Открыть лучший ответ