М
Молодежь
К
Компьютеры-и-электроника
Д
Дом-и-сад
С
Стиль-и-уход-за-собой
П
Праздники-и-традиции
Т
Транспорт
П
Путешествия
С
Семейная-жизнь
Ф
Философия-и-религия
Б
Без категории
М
Мир-работы
Х
Хобби-и-рукоделие
И
Искусство-и-развлечения
В
Взаимоотношения
З
Здоровье
К
Кулинария-и-гостеприимство
Ф
Финансы-и-бизнес
П
Питомцы-и-животные
О
Образование
О
Образование-и-коммуникации
mishka1113
mishka1113
17.05.2021 15:43 •  Математика

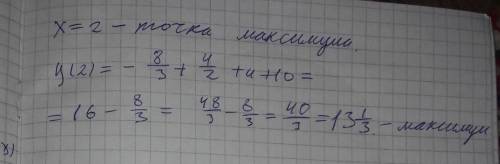
Найти производную от: (-x^3/3)+(x^2/2)+2x+10 2) область возрастания х↑ 3) максимум уmax

👇
Ответ:
фуад05
фуад05
17.05.2021

Предлагаю такое решение :


Найти производную от: (-x^3/3)+(x^2/2)+2x+10 2) область возрастания х↑ 3) максимум уmax
Найти производную от: (-x^3/3)+(x^2/2)+2x+10 2) область возрастания х↑ 3) максимум уmax
4,4(66 оценок)
Открыть все ответы
Ответ:
evasaidova91
evasaidova91
17.05.2021

А) до целых :

2,7 = 3; 11,4 = 11; 401,1 = 401; 0,8 = 1; 99,9 = 100; 909,9 = 910

Б) до десятых :

5,64 = 5,6;   21,87 = 21,9;  381,77 = 381,8; 54,60 = 54,6; 0,55 = 0,6;

0,09 = 0,1; 2,02 = 2,0

В) до сотых:

1,597 = 1,60; 12,882 = 12,88; 326,703 = 326,70; 0,321 = 0,32;

0,049 = 0,05; 0,001 = 0,00

Г) до тысячных:

203,6 = 203,600; 20,36 = 20,360; 0,0236 = 0,024; 2,0306 = 2,031; 0,010101 = 0,010

1. Dо сотых: 0,0324 = 0,03; 235,234 = 235,23; 1,799  = 1,80

2. До целых: 8758,99 = 8759; 123,98 = 124; 189,56  = 190

3. До десятых: 456,346 = 456,3; 65,4579  = 65,5

4. Dо десятков: 785,75 = 786; 546,999  = 547

5. Dо сотен: 8574,8547 = 8570; 5674,098  = 5670

6. Dо десяти тысячных: 56,769945​ = 56,7699

Пошаговое объяснение:

все верно

4,4(68 оценок)
Ответ:
AnnyKat
AnnyKat
17.05.2021

Пошаговое объяснение:

А) до целых :

2,7 = 3; 11,4 = 11; 401,1 = 401; 0,8 = 1; 99,9 = 100; 909,9 = 910

Б) до десятых :

5,64 = 5,6;   21,87 = 21,9;  381,77 = 381,8; 54,60 = 54,6; 0,55 = 0,6;

0,09 = 0,1; 2,02 = 2,0

В) до сотых:

1,597 = 1,60; 12,882 = 12,88; 326,703 = 326,70; 0,321 = 0,32;

0,049 = 0,05; 0,001 = 0,00

Г) до тысячных:

203,6 = 203,600; 20,36 = 20,360; 0,0236 = 0,024; 2,0306 = 2,031; 0,010101 = 0,010

1. Dо сотых: 0,0324 = 0,03; 235,234 = 235,23; 1,799  = 1,80

2. До целых: 8758,99 = 8759; 123,98 = 124; 189,56  = 190

3. До десятых: 456,346 = 456,3; 65,4579  = 65,5

4. Dо десятков: 785,75 = 786; 546,999  = 547

5. Dо сотен: 8574,8547 = 8570; 5674,098  = 5670

6. Dо десяти тысячных: 56,769945​ = 56,7699

4,5(87 оценок)
Это интересно:
Новые ответы от MOGZ: Математика
logo
Вход Регистрация
Что ты хочешь узнать?
Спроси Mozg
Открыть лучший ответ