
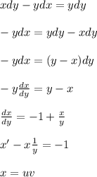
Наибольший общий делитель::
Разложим числа на простые множители и подчеркнем общие множители чисел:
35 = 5 · 7
50 = 2 · 5 · 5
15 = 3 · 5
Общие множители чисел: 5
НОД (35; 50; 15) = 5
Наименьшее общее кратное:
Разложим числа на простые множители. Сначала запишем разложение на множители самого большого число, затем остальные числа. Подчеркнем в разложении меньших чисел множители, которые не вошли в разложение наибольшего числа.
50 = 2 · 5 · 5
35 = 5 · 7
15 = 3 · 5
Чтобы определить НОК, необходимо недостающие множители (эти множители подчеркнуты) добавить к множителям большего числа и перемножить их:
НОК (35; 50; 15) = 2 · 5 · 5 · 7 · 3 = 1050
Наибольший общий делитель НОД (35; 50; 15) = 5
Наименьшее общее кратное НОК (35; 50; 15) = 1050
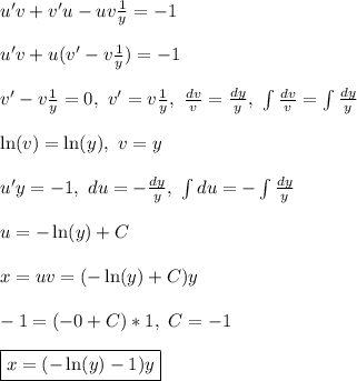
Наибольший общий делитель::
Разложим числа на простые множители и подчеркнем общие множители чисел:
4 = 2 · 2
18 = 2 · 3 · 3
32 = 2 · 2 · 2 · 2 · 2
Общие множители чисел: 2
НОД (4; 18; 32) = 2
Наименьшее общее кратное::
Разложим числа на простые множители. Сначала запишем разложение на множители самого большого число, затем остальные числа. Подчеркнем в разложении меньших чисел множители, которые не вошли в разложение наибольшего числа.
32 = 2 · 2 · 2 · 2 · 2
4 = 2 · 2
18 = 2 · 3 · 3
Чтобы определить НОК, необходимо недостающие множители (эти множители подчеркнуты) добавить к множителям большего числа и перемножить их:
НОК (4; 18; 32) = 2 · 2 · 2 · 2 · 2 · 3 · 3 = 288
Наибольший общий делитель НОД (4; 18; 32) = 2
Наименьшее общее кратное НОК (4; 18; 32) = 288

