М
Молодежь
К
Компьютеры-и-электроника
Д
Дом-и-сад
С
Стиль-и-уход-за-собой
П
Праздники-и-традиции
Т
Транспорт
П
Путешествия
С
Семейная-жизнь
Ф
Философия-и-религия
Б
Без категории
М
Мир-работы
Х
Хобби-и-рукоделие
И
Искусство-и-развлечения
В
Взаимоотношения
З
Здоровье
К
Кулинария-и-гостеприимство
Ф
Финансы-и-бизнес
П
Питомцы-и-животные
О
Образование
О
Образование-и-коммуникации
ejjekskaksk
ejjekskaksk
03.07.2020 11:32 •  Математика

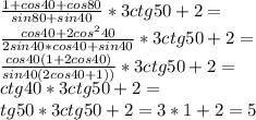
с решением,заранее ) вычислите значение выражения : (1+cos40°+cos80°/sin80°+sin40°)*3ctg50°+2

👇
Ответ:
olga0520
olga0520
03.07.2020
\frac{1+cos40+cos80}{sin80+sin40}*3ctg50+2=\\
\frac{cos40+2cos^240}{2sin40*cos40+sin40}*3ctg50+2=\\
\frac{cos40(1+2cos40)}{sin40(2cos40+1))}*3ctg50+2=\\\
ctg40*3ctg50+2=\\
tg50*3ctg50+2=3*1+2=5
4,6(75 оценок)
Открыть все ответы
Ответ:
Diмon
Diмon
03.07.2020
Угол наклона графика линейной функции (у=кх+с) зависит от углового коэффициента (к)Если требуется построить графики прямых, параллельных заданной прямой у=3х+5, то все параллельные этой прямой будут иметь тот же коэффициент (к=3)Запишите формулу линейной функции,график которой параллелен графику функции у=3х+5 и проходит через точку:1)А(-4;1): у=3х+с при х=-4 и у=1 :  1=3(-4)+с⇒с=1+12=13⇒ функция имеет вид у=3х+132) В(1;15) 15=3*1+с⇒с=15-3=12  у=3х+123)С(1/3;1/16)  1/16=3*1/3+с⇒с=1/16-1= -15/16  у=3х-15/164)М(0,15;-1)   -1=3*0,15+с⇒с=-1-0,45   у=3х-1,45
4,5(35 оценок)
Ответ:
kirapri32
kirapri32
03.07.2020
В заданном неравенстве (b+2)x^2-(b+1) x +2>0 левая часть - квадратный трёхчлен. Его общий вид: ах²+вх+с.

Пусть f(x) = ax² + bx + c, a ≠ 0.
Для того, чтобы корни данного квадратного трёхчлена были больше некоторого числа t, необходимо и достаточно, чтобы выполнялась следующая система условий:  D ≥ 0, a · f(t) > 0, x₀ > t (это абсцисса вершины параболы, t = 0 по заданию).

Находим дискриминант: D=b²-4ac.
D=b²+2b+1-4(b+2)*2 = b²-6b-15.
Приравниваем его нулю: b²-6b-15 = 0.
Квадратное уравнение, решаем относительно b: 
Ищем дискриминант:D=(-6)^2-4*1*(-15)=36-4*(-15)=36-(-4*15)=36-(-60)=36+60=96;
Дискриминант больше 0, уравнение имеет 2 корня:b₁=(√96-(-6))/(2*1)=(√96+6)/2=√96/2+6/2=√96/2+3 = 2√6+3 ≈ 7.89898;

b₂=(-√96-(-6))/(2*1)=(-96+6)/2= -96/2+6/2=- √96/2+3 = -2√6+3 ≈ -1.89898.

Находим a · f(t):
f(0) = (b+2)*0²-(b+1)*0+2 = 2.
a · f(t) = (b+2)*2 = 2b+4.
Находим условие a · f(t) > 0: 
2b+4 > 0,
2b > -4,
b > -2.

Проверяем третье условие: x₀ > t.
x₀ = -b/2а = (b+1)/(2b+4) > 0.
b > -1.
Совместное выполнение всех условий даёт ответ:
чтобы неравенство (b+2)x^2-(b+1) x +2>0 выполнялось при любых действительных значениях x, параметр b должен находиться на отрезке:
3-2√6 < b < 3+2√6.
4,7(6 оценок)
Это интересно:
Новые ответы от MOGZ: Математика
logo
Вход Регистрация
Что ты хочешь узнать?
Спроси Mozg
Открыть лучший ответ