М
Молодежь
К
Компьютеры-и-электроника
Д
Дом-и-сад
С
Стиль-и-уход-за-собой
П
Праздники-и-традиции
Т
Транспорт
П
Путешествия
С
Семейная-жизнь
Ф
Философия-и-религия
Б
Без категории
М
Мир-работы
Х
Хобби-и-рукоделие
И
Искусство-и-развлечения
В
Взаимоотношения
З
Здоровье
К
Кулинария-и-гостеприимство
Ф
Финансы-и-бизнес
П
Питомцы-и-животные
О
Образование
О
Образование-и-коммуникации
Ahdrey0607
Ahdrey0607
14.08.2021 14:18 •  Математика

Решите уравнение: 5x/12-4x/15=x/20+1

👇
Ответ:
JustNika
JustNika
14.08.2021
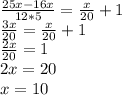
\frac{25x-16x}{12*5} = \frac{x}{20}+1 \\ 
 \frac{3x}{20}= \frac{x}{20}+1 \\
\frac{2x}{20}=1 \\
2x=20 \\
x=10
4,7(6 оценок)
Ответ:
kesha25521
kesha25521
14.08.2021

5х/12-4х/15-х/20=1

(5х*5-4х*4-х*3)/60=1

25х-16х-3х=60

6х=60

х=60/6=10


4,7(46 оценок)
Открыть все ответы
Ответ:
yarikkuisluiy
yarikkuisluiy
14.08.2021

1) Взаимно обратное числа 7/15 число 15/7 так как  7/15*15/7=1

2) 100: 5/23=100/1 : 5/23=100/1*23/5=2300/5=460

3)  пусть на второй  полке х книг, тогда на первой 3х книг. Когда с первой полки сняли 8 книг на ней стало (3х-8) книг, когда на вторую добавили 14 книг на ней стало (х+14) книг. По условию книг на полке стало поровну.

Получаем уравнение:

3х-8=х+14

3х-х=14+8

2х=22

х=22/2

х=11

На второй полке было 11 книг.

На первой полке было 11*3=33 книги

4) Пусть в первой корзине х груш, во второй 3х груш. Когда из первой взяли 2 груши в ней осталось (х-2) груши. Когда из второй корзины взяли 26 груш там осталось (3х-26) груши. Получаем уравнение:

3х-26=х-2

3х-х=26-2

2х=24

х=12

В первой корзине 12 груш

Во второй 12*3=36 груши

5)-5+9 =9-5=4
6)-11-3=-14
7)-10,5+20,5=20,5-10,5=10
8)(-8,5)+3,5=-5
9)-4-(-10)=-4+10=10-4=6
10)-24+49=49-24=25
11)-10,7+30,7=30,7-10,7=20
12)-19+10=-9
13)6,9+(-6,9)=6,9-6,9=0
14)-(-7)+4,5=7+4,5=11,5

4,7(1 оценок)
Ответ:
георг9
георг9
14.08.2021
Сложение
1)  Из большего числа вычитаем меньшее
2)   Поставить перед полученным числом знак того слагаемого,  
число   которого   больше.   
 
 Вычитание
Чтобы из одного числа вычесть другое, нужно  к уменьшаемому  
прибавить число, противоположное вычитаемому:    
 а – b   =   a + ( – b);             а – ( – b)   =   a + b . 
   
Умножение
При умножении двух  чисел умножаются их  величины.
Перед произведением ставится знак плюс, если знаки сомножителей одинаковы, и минус, если они разные:
Правило
+·+=+
+·-=-
-·+=-
-·-=+

Деление
При делении одного  числа на другое делят  первое число на второе. Перед частным ставится знак плюс, если знаки делимого и делителя одинаковы, и минус, если они разные:
4,5(88 оценок)
Новые ответы от MOGZ: Математика
logo
Вход Регистрация
Что ты хочешь узнать?
Спроси Mozg
Открыть лучший ответ