М
Молодежь
К
Компьютеры-и-электроника
Д
Дом-и-сад
С
Стиль-и-уход-за-собой
П
Праздники-и-традиции
Т
Транспорт
П
Путешествия
С
Семейная-жизнь
Ф
Философия-и-религия
Б
Без категории
М
Мир-работы
Х
Хобби-и-рукоделие
И
Искусство-и-развлечения
В
Взаимоотношения
З
Здоровье
К
Кулинария-и-гостеприимство
Ф
Финансы-и-бизнес
П
Питомцы-и-животные
О
Образование
О
Образование-и-коммуникации
tomirisestanova
tomirisestanova
18.10.2020 08:47 •  Математика

А)косинус х -2 синус х=0 б)косинус в квадрате х +4 косинус х=0 в)синус 3х - синус 7х=0 г)7синус2х- 2 синус х=0 д)синус 2 х+10косинус в квадрате х=0 е)5 косинус 2х-14косинус в квадрате х+8=0 решите .кто решит на счет деньги

👇
Ответ:
Айрона
Айрона
18.10.2020
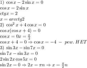
1)\;\cos x -2\sin x=0\\
\cos x=2\sin x\\ctgx=2\\x=arcctg2\\
2)\;\cos^2x +4\cos x=0\\\cos x(\cos x+4)=0\\\cos x=0\Rightrarrow x=\frac\pi2\\\cos x+4=0\Rightarrow\cos x=-4\;-\;pew.\;HET\\
3)\;\sin3x-\sin7x=0\\\sin7x-\sin3x=0\\2\sin2x\cos5x=0\\\sin2x=0\Rightarrow2x=\pi n\Rightarrow x=\frac\pi2n
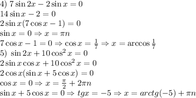
4)\;7\sin2x-2\sin x=0\\14\sin x\cosx-2\sinx=0\\2\sin x(7\cos x-1)=0\\\sin x=0\Rightarrow x=\pi n\\7\cos x-1=0\Rightarrow \cos x=\frac17\Rightarrow x=\arccos\frac17\\
5)\;\sin2x+10\cos^2x=0\\2\sin x\cos x+10\cos^2x=0\\2\cos x(\sin x+5\cos x)=0\\\cos x=0\Rightarrow x=\frac\pi2+2\pi n\\\sin x+5\cos x=0\Rightarrow tgx=-5\Rightarrow x=arctg(-5)+\pi n
Последние 2 ещё в процессе...
4,7(82 оценок)
Открыть все ответы
Ответ:
Son0905
Son0905
18.10.2020

Пошаговое объяснение:

2 . - 3 1/11 * a *(- 0,11)*b = 34/11 * 11/100 *a*b = 17/50 a*b ;

якщо a*b = 1/17 , то 17/50 a*b = 17/50 * 1/17 = 1/50 = 0,02 .

3 . a) 0,(12 ) = 0,121212... = 0,12 + 0,0012 + ... = 0,12/( 1 - 0,01 ) = 0,12/0,99 = 4/33 ;

б) 1,2(3) = 1,2333... = 1,2 + 0,03 + 0,003 + ... = 1,2 +0,03/(1 - 0,1 ) = 1,2 +3/90 =

= 6/5 + 1/30 = 37/30 .

4 . Нехай вона задумала число х .

Рівняння : х : (- 7 ) - 13,2 = 0,8 ;

х : (- 7 ) = 0,8 + 13,2 ;

х : (- 7 ) = 14 ;

х = 14 * (- 7 ) ;

х = - 98 .

В - дь : число - 98 .

4,5(6 оценок)
Ответ:
enbasmanovan
enbasmanovan
18.10.2020
Прямая пропорциональность заключается в том, что при увеличении одной величины в несколько раз, другая увеличивается во столько же раз. И наоборот. При уменьшении одной величины  в несколько раз, другая уменьшается во столько же раз.

Рассмотрим следующий пример. Человек за 1 минуту съедает 2 ореха:

1 минута — 2 ореха

За 2 минуты этот же человек съест вдвое больше орехов, т.е. 4 ореха.

2 минуты — 4 ореха

Легко заметить, что при увеличении времени в два раза, количество съеденных орехов тоже увеличилось в два раза.

Обратная пропорциональность заключается в том, что при увеличении одной величины в несколько раз, другая уменьшается во столько же раз. И наоборот — при уменьшении одной величины  в несколько раз, другая увеличивается во столько же раз.

Рассмотрим следующий пример. Велосипедист от своего дома до спортплощадки со скоростью 20 км/ч доезжает за 6 минут

20 км/ч — 6 минут

Если скорость движения увеличить вдвое, т.е. сделать ее равной 40 км/ч, то на этот же путь велосипедист затратит вдвое меньше времени, т.е. 3 минуты:

40 км/ч = 3 минуты

Легко заметить, что при увеличении скорости в два раза, время движения уменьшилось во столько же раз, то есть в два раза:
4,6(66 оценок)
Новые ответы от MOGZ: Математика
logo
Вход Регистрация
Что ты хочешь узнать?
Спроси Mozg
Открыть лучший ответ