М
Молодежь
К
Компьютеры-и-электроника
Д
Дом-и-сад
С
Стиль-и-уход-за-собой
П
Праздники-и-традиции
Т
Транспорт
П
Путешествия
С
Семейная-жизнь
Ф
Философия-и-религия
Б
Без категории
М
Мир-работы
Х
Хобби-и-рукоделие
И
Искусство-и-развлечения
В
Взаимоотношения
З
Здоровье
К
Кулинария-и-гостеприимство
Ф
Финансы-и-бизнес
П
Питомцы-и-животные
О
Образование
О
Образование-и-коммуникации
варай
варай
19.07.2021 15:35 •  Математика

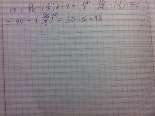
Найдите значение выражения 17: 17/30-(1/3)2*18

👇
Ответ:
есенина1920
есенина1920
19.07.2021
Правильный ответ получится 18
4,7(89 оценок)
Ответ:
ruzar1987
ruzar1987
19.07.2021
С решением вот лови )ответ 18)
Найдите значение выражения 17: 17/30-(1/3)2*18
4,6(46 оценок)
Открыть все ответы
Ответ:
Решение частями :
1 часть  -  итальянский яз.
3 части  -  немецкий яз.
6 частей  -  английский яз.
100 чел.  -  всего

1) 1 + 3 + 6 = 10 частей - всего
2) 100 : 10 = 10 чел. - приходится на 1 часть (= итальянский)
3) 10 * 3 = 30 чел. - немецкий
4) 10 * 6 = 60 чел. - английский.

Решение уравнением :
х чел.  -  итальянский
3х чел.  -  немецкий
2 * 3х  -  английский
100 чел.  -  всего

1) х + 3х + 2 * 3х = 100
    10х = 100
    х = 10 чел. - итальянский
2) 10 * 3 = 30 чел. - немецкий
3) 30 * 2 = 60 чел. - английский. 
4,5(20 оценок)
Ответ:
lebedkova81
lebedkova81
19.07.2021
Я составила табличку Взяла везде по 10 чел
Англ Немец Итальянский
10 10 10
В задаче сказано что на Английский ходять в 2 раза больше чем на Немецкий
Значит
Англ Немец Итальянский
20 10 10
А на Итальянский ходят в 3 раза меньше чем немецкий
Значит мы можем оставить у Итальянского 10 чел в Немецком и Английском языках увеличить сколько нужно
( немец в 3 раза, а Английский в 3 раза)
Англ Немец Итальянский
60 30 10
Проверим: 60+30+10=100 ( все верно)
ответ: 60 людей Английский, 30 людей Немецкий, 10 людей- итальянский
4,8(91 оценок)
Это интересно:
logo
Вход Регистрация
Что ты хочешь узнать?
Спроси Mozg
Открыть лучший ответ