М
Молодежь
К
Компьютеры-и-электроника
Д
Дом-и-сад
С
Стиль-и-уход-за-собой
П
Праздники-и-традиции
Т
Транспорт
П
Путешествия
С
Семейная-жизнь
Ф
Философия-и-религия
Б
Без категории
М
Мир-работы
Х
Хобби-и-рукоделие
И
Искусство-и-развлечения
В
Взаимоотношения
З
Здоровье
К
Кулинария-и-гостеприимство
Ф
Финансы-и-бизнес
П
Питомцы-и-животные
О
Образование
О
Образование-и-коммуникации
angel218
angel218
11.08.2020 03:28 •  Математика

Докажите неравенство: (a+1)(b+1)(a+c)(b+c)> =16abc, где a> 1,b> 1,c> 1

👇
Ответ:
Ozabo4eniy
Ozabo4eniy
11.08.2020
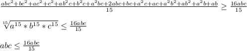
(a+1)(b+1)(a+c)(b+c) \geq 16abc\\\\ 

По неравенство о средних 
\frac{abc^2+bc^2+ac^2+c^2+ab^2c+b^2c+a^2bc+2abc+bc+a^2c+ac+a^2b^2+ab^2+a^2b+ab}{15} \geq \frac{16abc}{15}\\\\ 
\sqrt[15]{a^{15}*b^{15}*c^{15}} \leq \frac{16abc}{15}\\\\
abc \leq \frac{16abc}{15}
верно 
4,5(23 оценок)
Открыть все ответы
Ответ:
Оксана1241
Оксана1241
11.08.2020
ВВ1 / СС1 = АВ1 / АС1 = АВ / АС (гипотенузы всегда пропорциональны...) 
последнее равенство можно переписать так:
АВ1 / АВ = АС1 / АС
ведь в пропорции произведение крайних членов = произведению средних членов) значит произведение средних членов можно записать АС1*АВ = АВ*АС1
ведь от перестановки сомножителей произведение не меняется...
т.е. равенства тождественно верны)
но второе равенство читается так: стороны треугольника АВ1С1 пропорциональны сторонам треугольника АВС (две стороны), но углы между этими сторонами равны как вертикальные- имеем второй признак подобия треугольников...
треугольники АВ1С1 и АВС подобны
Втреугольнике abc c тупым углом bac проведены высоты bb1 и cc1. докажите, что треугольники b1ac1 и a
4,5(62 оценок)
Ответ:
kooyrina582mari
kooyrina582mari
11.08.2020
В треугольнике ABC c тупым углом BAC проведены высоты BB1 и CC1. Докажите, что треугольники B1AC1 и ABC подобны.

смотрим рисунок во вложении
та как треугольники ВСС1 и ВСВ1 - прямоугольные, то их можно описать окружностью, диаметр которой совпадает с общей гипотенузой ВС
угол ВС1В1 и угол ВСВ1 - опираются на одну и ту же дугу окружности
значит угол ВС1В1 и угол ВСВ1 - равны а значит угол АС1В1 и угол ВСА - равны

угол С1В1С и угол С1ВС - опираются на одну и ту же дугу окружности
значит угол С1В1С и угол С1ВС - равны а значит угол С1В1А и угол АВС - равны

так как угол АС1В1 и угол ВСА - равны
так как угол С1В1А и угол АВС - равны
так как угол ВАС и угол В1АС1 - равны

то треугольники АВС и АВ1С1 - подобны  - доказано
4,8(95 оценок)
Это интересно:
Новые ответы от MOGZ: Математика
logo
Вход Регистрация
Что ты хочешь узнать?
Спроси Mozg
Открыть лучший ответ