М
Молодежь
К
Компьютеры-и-электроника
Д
Дом-и-сад
С
Стиль-и-уход-за-собой
П
Праздники-и-традиции
Т
Транспорт
П
Путешествия
С
Семейная-жизнь
Ф
Философия-и-религия
Б
Без категории
М
Мир-работы
Х
Хобби-и-рукоделие
И
Искусство-и-развлечения
В
Взаимоотношения
З
Здоровье
К
Кулинария-и-гостеприимство
Ф
Финансы-и-бизнес
П
Питомцы-и-животные
О
Образование
О
Образование-и-коммуникации
InnaGlazova
InnaGlazova
24.09.2022 15:14 •  Математика

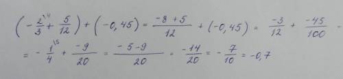
Найди значение выражения в скобках минус две третьих плюс пять двенадцатых скобка закрывается плюс скобка открывается минус нуль целых сорок пять сотых скобка закрывается равно

👇
Ответ:
мила0770
мила0770
24.09.2022
Решение прикреплено файлом!
Найди значение выражения в скобках минус две третьих плюс пять двенадцатых скобка закрывается плюс с
4,5(45 оценок)
Открыть все ответы
Ответ:
stupidgirl3
stupidgirl3
24.09.2022

Ольга

Пошаговое объяснение:

Чтобы сравнить две десятичные дроби, сначала нужно сравнить их целые части, а если целые части равны,  то ищем первый несовпадающий разряд. Больше будет та дробь, у которой соответствующий разряд  больше.

Так как десятичные дроби записаны в десятичной системе, то они сравниваются поразрядно.  Чтобы определить, кто из ребят быстрее дойдет до школы, необходимо найти самое короткое расстояние, т. e. меньшую десятичную дробь.

Используем правило сравнения дробей поразрядно.

Жан - 11,51

Алина - 11,5

Ольга - 11,05

Так как целые части равны, сравниваем разряд десятичных. Следовательно, 11,05 будет наименьшей десятичной дробью. Ольга дойдет до школы быстрее.

4,7(60 оценок)
Ответ:
Яхшибой
Яхшибой
24.09.2022

~Подписаться на меня

~Лайкнуть это видео

~Репостнуть это видео

~Подписаться на моих 20 подписчиков

~Жди❤

Пошаговое объяснение:

~Подписаться на меня

~Лайкнуть это видео

~Репостнуть это видео

~Подписаться на моих 20 подписчиков

~Жди

~Подписаться на меня

~Лайкнуть это видео

~Репостнуть это видео

~Подписаться на моих 20 подписчиков

~Жди

~Подписаться на меня

~Лайкнуть это видео

~Репостнуть это видео

~Подписаться на моих 20 подписчиков

~Жди

~Подписаться на меня

~Лайкнуть это видео

~Репостнуть это видео

~Подписаться на моих 20 подписчиков

~Жди

~Подписаться на меня

~Лайкнуть это видео

~Репостнуть это видео

~Подписаться на моих 20 подписчиков

~Жди

~Подписаться на меня

~Лайкнуть это видео

~Репостнуть это видео

~Подписаться на моих 20 подписчиков

~Жди

~Подписаться на меня

~Лайкнуть это видео

~Репостнуть это видео

~Подписаться на моих 20 подписчиков

~Жди❤https://l.likee.video/v/BkOgLIhttps://l.likee.video/v/IhnE3F

4,5(60 оценок)
Это интересно:
Новые ответы от MOGZ: Математика
logo
Вход Регистрация
Что ты хочешь узнать?
Спроси Mozg
Открыть лучший ответ