М
Молодежь
К
Компьютеры-и-электроника
Д
Дом-и-сад
С
Стиль-и-уход-за-собой
П
Праздники-и-традиции
Т
Транспорт
П
Путешествия
С
Семейная-жизнь
Ф
Философия-и-религия
Б
Без категории
М
Мир-работы
Х
Хобби-и-рукоделие
И
Искусство-и-развлечения
В
Взаимоотношения
З
Здоровье
К
Кулинария-и-гостеприимство
Ф
Финансы-и-бизнес
П
Питомцы-и-животные
О
Образование
О
Образование-и-коммуникации
745632189
745632189
07.09.2021 01:47 •  Математика

Нужно подробное решение. в садке находится 15 лещей, из которых 7 мечено. на угад отлавливают 3 леща. определить вероятность следующих событий: а)среди отловленых лещей будет 2 меченых б)среди отловленных лещей будет не менее двух меченых в)среди отловленных лещей будет хотябы один меченый

👇
Ответ:
Nihilagay
Nihilagay
07.09.2021
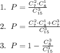
1.\; \; P=\frac{C_7^2\cdot C_8^1}{C_{15}^3}\\\\2.\; \; P=\frac{C_7^2\cdot C_8^1+C_7^3}{C_{15}^3}\\\\3.\; \; P=1-\frac{C_8^3}{C_{15}^3}
4,7(49 оценок)
Открыть все ответы
Ответ:
LANOVI
LANOVI
07.09.2021

Монголия - одна из самых интересных азиатских стран. Несмотря на отсутствие большого количества исторических построек или роскошных морских побережий, эта страна привлекала и привлекает к себе внимание сотен тысяч туристов. И это неудивительно - главным богатством этой страны была и остается почти не измененная людьми природа, которая привлекает сюда приверженцев экологического туризма. Бескрайние просторы зеленых степей, безжизненные на первый взгляд пустыни и солончаки, дикие ландшафты горных районов, изумрудные "глаза" озер и, самое главное - самобытная культура местных жителей, вот что манит сюда гостей со всего света.

 

Улан-Батор

Улан-Батор был основан в 1639 г. и является политическим, коммерческим и культурным центром страны. Город может смело называться "самой необычной столицей Азии". Где ещё можно встретить столичных жителей, живущих в юртах посреди города, или седлающих прямо у порога лошадь для поездки на работу? И тем не менее - это вполне современный город, в котором проживает четверть населения страны, и который имеет свое особое, ни на кого не похожее очарование и облик.

Главными достопримечательностями столицы считаются колокол Мира на центральной площади, памятник и мавзолей Сухэ-Батора (национальный герой, объявивший независимость Монголии от Китая), "ханская ставка" со знаменитыми скульптурами двенадцати ипостасей богини Тары, Зимний дворец (1893-1903 гг.) последнего императора Монголии Богдыхана, монастырь Гандан (Гандантегчинлен-Хид, 1840 г., самый большой действующий монастырь страны) с храмом Жанрай-Синг, деревянный монастырь Чойжин-Ламын-Сум (Чоидзин-Лам, начало XX в., сейчас здесь музей буддийского искусства) в центре города, Дом Парламента и Дворец Культуры с Художественной Галереей столицы. Богатейшая история страны отражена во множестве музеев столицы, среди которых наиболее интересны Музей изобразительного искусства Занабазар, Музеи истории и естествознания (здесь одна из лучших в мире коллекций костей динозавров), Национальный Музей истории (самое богатое собрание по истории страны), Музей Искусств с богатейшей коллекцией народных промыслов, Музей Улан-Батора, Музей Национальной Игрушки, Военный Музей, Общественная Библиотека (здесь хранится уникальное собрание рукописей на санскрите, XI в.), Российский Центр Научного и Культурного Сотрудничества с хорошей экспозицией по истории и культуре Монголии и прочие.

Стоит обратить внимание на Государственный Театр Оперы и Балета, Государственный Театр Драмы и Театр танца и народной песни - многовековые музыкальные традиции страны дают основание считать эти учреждения ещё одной достопримечательностью столицы. В южной части города есть парк аттракционов и рынок Наран-тул - лучший кашемировый рынок в мире, а еще южнее, на сопке, высится памятник советско-монгольской дружбе со смотровой площадкой, откуда открывается превосходная панорама столицы.

Окрестности Улан-Батора не менее занимательны. В 39 км. юго-восточнее столицы, на самом краю утеса, высящегося над красивейшей долиной, расположен монастырь Манзушир (1733 г.). В селении Дулун-Болдог (70 км. от столицы) находится священное для монголов место - гора Богд-Ул (Богдо-Ула, 2256 м.) - место рождения и отрочества Темучжина (Чингисхана). Здесь воздвигнут памятник великому завоевателю и основателю Монгольской империи, а также создан биосферный заповедник.

Четыре горных пика - Цецегум, Ченгельтел, Сонгино-Хаирхан и Баянсурх, окружающих столицу, считаются святыми местами. Эти огромны пики, заросшие лиственничными лесами и населенные многочисленными дикими животными, являются любимыми местами местных жителей (для посещения региона иностранцами требуется разрешение, которое можно оформить на въезде в Национальный парк Богдыхан (15 км. южнее столицы). Поблизости раскинулся горный заповедник Богдо-Ула ("Святая гора").

4,4(46 оценок)
Ответ:
zimina31
zimina31
07.09.2021

Пожарный — сотрудник спецслужбы, деятельность которой направлена на профилактику и ликвидацию возгораний разной степени сложности. Когда речь идёт о полномасштабном пожаре - тут в бой со стихией вступают отважные профессионалы. При возникновении пожара сигнал поступает в дежурную службу. Когда поступает сигнал тревоги, дежурные бойцы должны за 20 секунд надеть специальную одежду, после чего немедленно сесть в машину и выехать. От того, как быстро прибудет машина на место происшествия, часто зависят жизни многих людей. Работа тяжелая. Профессия пожарного — одна из самых сложных профессий в мире. Можно научиться лазить по выдвижной лестнице, пользоваться противогазом, двигаться в густом дыму, бегать, прыгать, поднимать тяжести… Но самое трудное – это в каждое мгновение быть готовым рисковать своей жизнью, чтобы чью-то другую.

4,7(39 оценок)
Новые ответы от MOGZ: Математика
logo
Вход Регистрация
Что ты хочешь узнать?
Спроси Mozg
Открыть лучший ответ