М
Молодежь
К
Компьютеры-и-электроника
Д
Дом-и-сад
С
Стиль-и-уход-за-собой
П
Праздники-и-традиции
Т
Транспорт
П
Путешествия
С
Семейная-жизнь
Ф
Философия-и-религия
Б
Без категории
М
Мир-работы
Х
Хобби-и-рукоделие
И
Искусство-и-развлечения
В
Взаимоотношения
З
Здоровье
К
Кулинария-и-гостеприимство
Ф
Финансы-и-бизнес
П
Питомцы-и-животные
О
Образование
О
Образование-и-коммуникации
sanekakot
sanekakot
25.02.2023 13:44 •  Математика

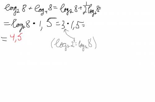
Решите) log + log =? log2^8+log4^8

👇
Ответ:
darya03fox04
darya03fox04
25.02.2023
......................

Решите) log + log =? log2^8+log4^8
4,4(90 оценок)
Ответ:
Гриша2148139
Гриша2148139
25.02.2023
3+3/2=4.5
4,4(54 оценок)
Открыть все ответы
Ответ:
usenovaa
usenovaa
25.02.2023
Первые телефонные компании заработали в москве и петербурге практически одновременно — в июле 1882 года. правда, в москве 1 июля 1882 года, говоря современным языком, началась коммерческая эксплуатация сети местной телефонии, а в петербурге она проработала до конца октября того же года в тестовом режиме. при этом в петербурге 29 октября 1882 года — в первый день коммерческого предоставления услуг — насчитывалось 259 телефонных абонентов, а в москве на тот же день (то есть по итогам четырех месяцев полномасштабной работы) — 200 пользователей. к тому же из петербурга еще в 1879 году был совершен первый в российской междугородный звонок — в малую вишеру. таким образом, две вечно соревнующиеся друг с другом российские столицы в ситуации с первенством в области связи могут легко сойтись на паритетных правах. потребность в телефоне у человека назрела ещё в древности. у персидского царя кира (vi век до н. э.) состояло для этой цели на службе 30 000 человек, именуемых «царскими ушами». располагаясь на вершинах холмов и сторожевых башен в пределах слышимости друг друга, они передавали сообщения, предназначенные царю, и его приказания. греческий диодор сицилийский (i век до н. э.) свидетельствует, что за день, известия по такому телефону передавались на расстояние тридцатидневного перехода. во время войны с цезарем, о продвижении его армии галлы передавали с расставленных цепочкой крикунов. эффективность такого способа была налицо: посредством своей «луженой» глотки профессиональные крикуны передавали ценную информацию за день со скоростью 100 км/ч… в то время, как посыльным требовались недели и месяцы. а в средневековых постройках пскова учёные обнаружили «беспроволочные» телефоны- узкие секретные ходы проложенные в стенах. с их велись переговоры, передавались и принимались сообщения. уже намного позже хук придумал устройство, звук посредством натянутой между двумя мембранами бечевки. а французский био изобрёл агрегат говорить по которому можно было с труб. настоящий прорыв в телефонизации произошел лишь в 1875 г. в один из ноябрьских дней, патентное бюро г. бостона переступил 29- летний профессор органов речи местного университета а. bell. он вручил служащим заявку на изобретение «аппарата для передачи звуков на некоторое расстояние при электричества.» опоздай он на пару часов и все лавры- изобретателя телефона достались бы э. грэю, который в тот же день обратился с аналогичной заявкой в упомянутую патентную контору. в основе изобретений была способность преобразовывать звуковые колебания в электрические и наоборот. совершенствование новой «игрушки» началось сразу. американский изобретатель девид юз в качестве передатчика предложил использовать микрофон с угольной колодкой, а учёный м. махальский (1878 с угольным порошком. для большей «дальнобойности» связи м.дешевов помещает в телефонный аппарат трансформатор. поначалу изобретение белла сочли не прорывом за границы возможного, а безделушкой, годной либо лишь для развлечений, либо для использования слабослышащими.
4,6(49 оценок)
Ответ:
4205353
4205353
25.02.2023

6:12=4:8         6:4=12:8         8:4=12:6             8:12=4:6

12:6=8:4           12:8=6:4        4:8=6:12             4:6=8:12

Пошаговое объяснение:

1) 6,12,4 и 8​

в верной пропорции произведение крайних членов равно произведению средних членов.

Здесь можно составить произведения 6*8=12*4

Значит у нас 6 и 8 сначала будут крайними членами,а 12 и 4 средними членами пропорции.    

    6:12=4:8    или      6:4=12:8    или     8:4=12:6    или     8:12=4:6  

Теперь 12 и 4 будут крайними,а 6 и8 средними членами пропорции

12:6=8:4   или     12:8=6:4   или      4:8=6:12     или         4:6=8:12

4,5(77 оценок)
Новые ответы от MOGZ: Математика
logo
Вход Регистрация
Что ты хочешь узнать?
Спроси Mozg
Открыть лучший ответ