М
Молодежь
К
Компьютеры-и-электроника
Д
Дом-и-сад
С
Стиль-и-уход-за-собой
П
Праздники-и-традиции
Т
Транспорт
П
Путешествия
С
Семейная-жизнь
Ф
Философия-и-религия
Б
Без категории
М
Мир-работы
Х
Хобби-и-рукоделие
И
Искусство-и-развлечения
В
Взаимоотношения
З
Здоровье
К
Кулинария-и-гостеприимство
Ф
Финансы-и-бизнес
П
Питомцы-и-животные
О
Образование
О
Образование-и-коммуникации
tima2011
tima2011
24.03.2022 05:40 •  Математика

Записать координаты вершин а, в, с параллелограмма abcd, найти координаты вершины d и точки о (пересечения диагоналей параллелограмма). записать уравнение стороны ав и высоты сн.

👇
Ответ:
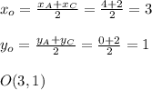
Точки  A(4,0), B(0,0), C(2,2).
Диагонали параллелограмма в точке пересечения (точка О) делятся пополам.Найдём координаты т.О как кординаты середины отрезка АС.

x_{o}=\frac{x_{A}+x_{C}}{2}=\frac{4+2}{2}=3\\\\y_{o}=\frac{y_{A}+y_{C}}{2}=\frac{0+2}{2}=1\\\\O(3,1)

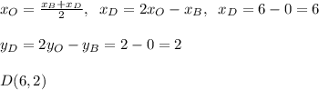
Точку Д тоже найдём из соображений, что точка О - середина отрезка ВД.

x_{O}=\frac{x_{B}+x_{D}}{2},\; \; x_{D}=2x_{O}-x_{B},\; \; x_{D}=6-0=6\\\\y_{D}=2y_{O}-y_{B}=2-0=2\\\\D(6,2)

Уравнение АВ найдём как уравнение прямой, проходящей через 2 точки.Но в данной задаче можно обойтись без этого а заметить, что ординаты точек А и В равны 0, значит уравнение прямой АВ:  у=0.
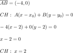
Вектор АВ перпендикулярен высоте СН, значит он явл. нормальным вектором для СН.

\overline {AB}=(-4,0)\\\\CH:\; A(x-x_{0})+B(y-y_{0})=0\\\\-4(x-2)+0(y-2)=0\\\\x-2=0\\\\CH:\; x=2
4,5(28 оценок)
Открыть все ответы
Ответ:
kislayaya13
kislayaya13
24.03.2022

Если a= 2 1/2, b=5 1/3, то пример будет 2 1/2 + 5 1/3 - 1 2/3                                           1 действие - 2 1/2 + 5 1/3= (2+5)+(1/2 + 1/3)= 7 + 3+2/6= 7 5/6                                       2 действие - 7 5/6 - 1 2/3= (7-1)+(5/6-2/3)= 6+ 5-4/6= 6 1/6                                                      ответ: 6 1/6                                                                                                                                                       Если ответ не правильный то прости(

4,7(46 оценок)
Ответ:
vabimGogolev
vabimGogolev
24.03.2022

Эллипс.

Эллипс с каноническим уравнением

x2

a2

+

y2

b2

=1,a≥b>0, имеет форму изображенную на рисунке.

Параметры a и b называются полуосями эллипса (большой и малой соответственно). Точки A1(−a,0), A2(a,0), B1(0,−b), и B2(0,b), его вершинами. Оси симметрии Ox и Oy - главными осями а центр симметрии O− центром эллипса.

Точки F1(−c,0) и F2(c,0), где c=

a2−b2

≥0, называются фокусами эллипса векторы

¯

F1M

и

¯

F2M

− фокальными радиус-векторами, а числа r1=|

¯

F1M

| и r2=|

¯

F2M

|− фокальными радиусами точки M, принадлежащей эллипсу. В частном случае a=b фокусы F1 и F2 совпадают с центром, а каноническое уравнение имеет вид

x2

a2

+

y2

a2

=1, или x2+y2=a2, т.е. описывает окружность радиуса a с центром в начале координат.

Число e=

c

a

=

1−

b2

a2

(0≤e<1) называется эксцентриситетом эллипса и является мерой его "сплюснутости" (при e=0 эллипс является окружностью.)

Прямые D1:x=−a/e и D2:x=a/e, перпендикулярные главной оси и проходящей на расстоянии a/e от центра, называются директрисами эллипса.

Теорема. (Директориальное свойство эллипса)

Эллипс является множеством точек, отношение расстояний от которых до фокуса и до соответствующей директрисы постоянно и равно e.

Примеры.

2.246. Построить эллипс 9x2+25y2=225. Найти: а) полуоси; б) координаты фокусов; в) эксцентриситет; г) уравнения директрис.

Пошаговое объяснение:

я не знаю правильно ли это

4,6(61 оценок)
Это интересно:
Новые ответы от MOGZ: Математика
logo
Вход Регистрация
Что ты хочешь узнать?
Спроси Mozg
Открыть лучший ответ