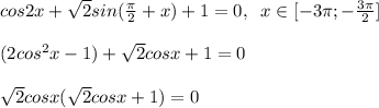
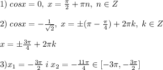
![cos2x+\sqrt2sin(\frac{\pi}{2}+x)+1=0,\; \; x\in [-3\pi ;-\frac{3\pi }{2}]\\\\(2cos^2x-1)+\sqrt2cosx+1=0\\\\\sqrt2cosx(\sqrt2cosx+1)=0](/tpl/images/0277/9476/afd4a.png)
Оле 16 лет
скорость грузовика от А до B 40 км/ч
Пошаговое объяснение:
1) Пусть x - это кол-во лет Тане в этом году, а у - это количество лет Маши в этом году, тогда
(x-2)=(y-2)*3 - лет 2 года назад
x=2*y - в этом году
Составим систему уравнений

решаем
2y-2=3y-6
-y=-4
y=4
x=2*y
x=8 (столько лет Тане)
Тане в 2 раза моложе Оли, а значит Оле 2*8=16 лет
2) Пусть x- это скорость грузовика
Так как путь пройденный грузовиком туда и обратно одинаковый и вычисляется как время умноженное на скорость составим уравнение
приравняем пути:
x*20=(x+10)*16
20x=16x+160
4x=160
x=40 км/ч
ответ: Последней в мешке останется черноя перчатка.
Пошаговое объяснение:
Из условия очевидно, что число белых перчаток в мешке может меняться только парами, т.е. если достали две белых - то число белых перчаток уменьшается на два. Если достали черную и белую перчатку, то белую перчатку кладут обратно, т.о. число белых перчаток в мешке не меняется, если достали две черных перчатки, то число белых перчаток тоже не изменяется. Таким образом. поскольку изначально белых перчаток 32, то число белых перчаток в мешке всегда четное или ноль. Таким образом, одна белая берчатка в мешке остаться не может. Следовательно последней в мешке останется черная перчатка.