М
Молодежь
К
Компьютеры-и-электроника
Д
Дом-и-сад
С
Стиль-и-уход-за-собой
П
Праздники-и-традиции
Т
Транспорт
П
Путешествия
С
Семейная-жизнь
Ф
Философия-и-религия
Б
Без категории
М
Мир-работы
Х
Хобби-и-рукоделие
И
Искусство-и-развлечения
В
Взаимоотношения
З
Здоровье
К
Кулинария-и-гостеприимство
Ф
Финансы-и-бизнес
П
Питомцы-и-животные
О
Образование
О
Образование-и-коммуникации
katya8998
katya8998
14.10.2020 04:45 •  Математика

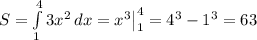
Вычислить s области ограниченной линиями y=0 ,y=3x² x=1 ,х=4

👇
Ответ:
mirimyan79
mirimyan79
14.10.2020
S= \int\limits^4_1 {3x^2} \, dx =x^3\big|_1^4=4^3-1^3=63
4,7(95 оценок)
Открыть все ответы
Ответ:
straza982
straza982
14.10.2020

.

Пусть х км - весь путь мотоциклиста, тогда 0,4х км - он проехал сначала, 0,3 · (х - 0,4х) = 0,3 · 0,6х = 0,18 км - он проехал затем. После этого ему осталось проехать 105 км. Уравнение:

х - (0,4х + 0,18х) = 105

х - 0,58х = 105

0,42х = 105

х = 105 : 0,42

х = 250

- - - - - - - - - -

.

Весь путь примем за единицу (целое).

1) 40% = 40/100 = 2/5

1 - 2/5 = 5/5 - 2/5 = 3/5 - оставшаяся часть пути;

2) 30% = 30/100 = 3/10

3/5 · 3/10 = 9/50 - проехал затем;

3) 3/5 - 9/50 = 30/50 - 9/50 = 21/50 - оставшаяся часть пути, равная 105 км;

4) 105 : 21/50 = 105 · 50/21 = 5 · 50 = 250 км - весь путь.

ответ: 250 км.

4,8(84 оценок)
Ответ:
akur12
akur12
14.10.2020
1) (200+350)*2=550*2=1100м2 ( площадь одного участка); 2) (600+400)*2=1000*2=2000м2( площадь другого участка);3)156т-56т=100т=1000ц(на 1000ц урожай с одного участка больше чем с другого); (дополнительно) 4)1100м2 = 56т , а  100м2 =х ;х =56*100:1100=5 1/11 т .=50 1/11 ц ( урожайность одного поля =50 1/11ц со100м2; 5)2000м2 = 156т; а 100м2=х; х=156*100:2000=7 4/5т=70 4/5ц( урожайность другого поля =70 4/5ц со 100м2;6)70 4/5 -50 1/11= 20 39/55ц со 100м2 ( урожайность другого поля выше на 20 39/55 ц со 100м2).
4,7(39 оценок)
Новые ответы от MOGZ: Математика
logo
Вход Регистрация
Что ты хочешь узнать?
Спроси Mozg
Открыть лучший ответ