М
Молодежь
К
Компьютеры-и-электроника
Д
Дом-и-сад
С
Стиль-и-уход-за-собой
П
Праздники-и-традиции
Т
Транспорт
П
Путешествия
С
Семейная-жизнь
Ф
Философия-и-религия
Б
Без категории
М
Мир-работы
Х
Хобби-и-рукоделие
И
Искусство-и-развлечения
В
Взаимоотношения
З
Здоровье
К
Кулинария-и-гостеприимство
Ф
Финансы-и-бизнес
П
Питомцы-и-животные
О
Образование
О
Образование-и-коммуникации
vektor9931oz1kb3
vektor9931oz1kb3
10.05.2021 00:01 •  Математика

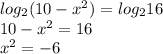
Решите логарифмическое уравнение: log210-x2=4.

👇
Ответ:
foxheb57
foxheb57
10.05.2021
log_2(10-x^2)=log_216 \\ 10-x^2=16 \\ x^2= -6
решения нет
хорошо бы проверить условие
4,4(92 оценок)
Открыть все ответы
Ответ:
lolSashalolo
lolSashalolo
10.05.2021
А) 500г - 100%
16г - х%
\frac{500}{100} = \frac{16}{x}
x= \frac{16*100}{500} =3.2 %

б) 4,8т - 100%
5,52 - х%
\frac{4,8}{100} = \frac{5,52}{x}
x= \frac{16*100}{5000} =115
115%-100% = 15% - на   скільки  відсотків  зросли   витрати   вугілля   в   лю­тому   в   порівнянні  із січнем

в) 80/100*10=8(грн) - 10%
80+8=88(грн) - вартість після підвищення на 10%
88/100*20=17,6(грн) - 20%
88-17,6=70,4(грн) - вартість після зменшення на 20%


а) 340(г) - 100%
х(г) - 18%
\frac{x}{340} = \frac{18}{100}
х=18*340/100=6120/100=61,2(г)

65% - 26
100% - х
\frac{65}{100} = \frac{26}{x}
х=26*100/65=2600/66=40

б) 500(кг) - 100%
84% - х(кг)
\frac{500}{100} = \frac{x}{84}
х=500*84/100=420(кг) - втрачають
500-420=80(кг) - сушених яблук

в) Вся ділянка - х(га)
В перший день засіяли 35%(0,35) всієї ділянки, тобто 0,35х(га)
В другий день засіяли 60%(0,6) від першого дня, тобто (0,35х)*0,6=0,21х(га)
х=0,35х+0,21х+1,32
х-0,35х-0,21х=1,32
0,44х=1,32
х=1,32/0,44
х=3(га) - Вся ділянка
Проверка:
в 1 день засяли 1,05(га)
в 2 день - 0,63(га)
в 3 день - 1,32(га)
1,05+0,63+1,32=3(га)
4,7(3 оценок)
Ответ:
Viktoria24680
Viktoria24680
10.05.2021
ПО ГОРИЗОНТАЛИ:
2.Тело, поверхность которого состоит из конечного числа плоских многоугольников.
5. Общее количество правильных звёздчатых многогранников.
7. Грань додекаэдра
8. Город, в котором находится здание Национальной библиотеки, в основу которого положен многогранник-звезда.
13. Учёный, создавший космологическую гипотезу солнечной системы, основанную на использовании правильных многогранников.
15. Операция, с которой из правильных многогранников получаются полуправильные.
16. Правильный многогранник.
18. Полуправильный многогранник.
22. Ученый, подробно описавший свойства правильных многогранников.
23. Свойство правильных многогранников.
25. Правильный многогранник.
26. Свойство звёздчатых многогранников.
27. Грань куба.
28.Перевод с греческого слова "тетраэдр"
ПО ВЕРТИКАЛИ:
1. Природный представитель, имеющий форму звёздчатого многогранника.
3. Перпендикуляр, опущенный из вершины пирамиды на плоскость основания.
4. Плоский многоугольник, являющийся частью поверхности многогранника.
6. Другое название куба.
7. Граница многогранника.
8. Автор картины " Тайная вечеря ".
9. Ученый, открывший 13 полуправильных многогранников.
10. Правильная треугольная пирамида.
11. Количество рёбер, сходящихся в одной вершине куба.
12. Фамилия учёного, сформулировавшего в 1752 году формулу В-Р+Г=2.14. У чёный, открывший два правильных звёздчатых многогранника.
17. Правильный многогранник, двойственный кубу.
19. Картина Альбрехта Дюрера.
20. Название одноклеточных организмов, форма которых точно передаёт икосаэдр.
21. Картина голландского художника М.Эшера.24. Сторона грани многогранника
ОТВЕТЫ
ПО ГОРИЗОНТАЛИ :
2. Многогранник.
5. Четыре
7. Пятиугольник.
8. Дамаск.
13. Кепллер.
15.Усечение.
16. Октаэдр.
18. Ромбокубооктаэдр.
22. Платон.
23. Двойственность.
25. Икосаэдр.
26. Декоративность.
27. Квадрат.
28. Четырёхгранник.
ПО ВЕРТИКАЛИ :
1. Снежинка.
3. Высота.
4. Грань.
6. Гексаэдр.
7. Поверхность.
8. Дали.
9. Архимед.
10. Тетраэдр
11. Три.
12. Эйлер.
14. Пуансо.
17. Додекаэдр.
19. Меланхолия.
20. Феодарии.
21. Водопад.
24. Ребро
4,8(93 оценок)
Это интересно:
Новые ответы от MOGZ: Математика
logo
Вход Регистрация
Что ты хочешь узнать?
Спроси Mozg
Открыть лучший ответ