М
Молодежь
К
Компьютеры-и-электроника
Д
Дом-и-сад
С
Стиль-и-уход-за-собой
П
Праздники-и-традиции
Т
Транспорт
П
Путешествия
С
Семейная-жизнь
Ф
Философия-и-религия
Б
Без категории
М
Мир-работы
Х
Хобби-и-рукоделие
И
Искусство-и-развлечения
В
Взаимоотношения
З
Здоровье
К
Кулинария-и-гостеприимство
Ф
Финансы-и-бизнес
П
Питомцы-и-животные
О
Образование
О
Образование-и-коммуникации

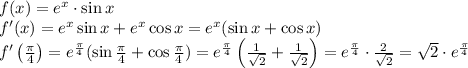
Найдите f '(п/4), если f(x)=e^x * sinx

👇
Ответ:
1939345
1939345
24.07.2021
f(x)=e^x\cdot\sin x\\f'(x)=e^x\sin x+e^x\cos x=e^x(\sin x+\cos x)\\f'\left(\frac\pi4\right)=e^{\frac\pi4}(\sin\frac\pi4+\cos\frac\pi4)=e^{\frac\pi4}\left(\frac1{\sqrt2}+\frac1{\sqrt2}\right)=e^{\frac\pi4}\cdot\frac2{\sqrt2}=\sqrt2\cdot e^{\frac\pi4}
4,7(45 оценок)
Открыть все ответы
Ответ:
НИК211111
НИК211111
24.07.2021
Допустим, дан прямоугольник со сторонами a, b и площадью S = ab
При увеличении стороны а получим: с = а + а/6 = 7a/6
При уменьшении стороны b получим: d = b - b/6 = 5b/6
Тогда площадь нового прямоугольника S₁ = cd = 7a/6 * 5b/6 = 35ab/36

Таким образом, если увеличить длину прямоугольника на 1/6 часть, а его ширину уменьшить на 1/6 часть, то площадь исходного прямоугольника уменьшится на 1/36 часть.

В качестве примера возьмем квадрат 6 см 6 см. Его площадь 36 см².
После увеличения на 1/6 длины и уменьшения на 1/6 ширины, получаем прямоугольник со сторонами 5 и 7 см и площадью 35 см².

ответ: площадь прямоугольника уменьшится на 1/36 часть.
4,4(54 оценок)
Ответ:
revazhora
revazhora
24.07.2021
У них в сумме 14300 + 23300 + 31300 + 41000 + 41300 = 151200.
Перешлют они в сумме x руб и заплатят за это 0,1x руб.
Получится у всех поровну, по (151200 - 0,1x)/5 = 30240 - 0,02x
Значит, 1-ый и 2-ой должны получить, а 3-ий, 4-ый и 5-ый отдать.
Вот чего удалось добиться подбором.
Комиссия составляет 2430.
Остаётся на всех 151200 - 2430 = 148770, каждому по 148770/5 = 29754.
3-ий пересылает 1-му 31300 - 29754 = 1546, и платит за это 154,6.
1-ый получил 1546-154,6=1391,4, стало 14300+1391,4=15691,4
4-ый пересылает 1-му 41000 - 29754 = 11246, и платит за это 1124,6.
1-ый получил 11246-1124,6=10121,4, стало 15691,4+10121,4=25812,8
5-ый пересылает 1-му 4379,11, платит 437,91, и 1-ый получает 3941,2.
У 5-го осталось 41300 - 4379,11 = 36920,89
У 1-го стало 25812,8 + 3941,2 = 29754. С 1-ым рассчитались.
5-ый пересылает 2-му  36920,89 - 29754 = 7166,89, и платит 716,69.
2-ой получает 7166,89 - 716,69 = 6450,2, стало 23300 + 6450,2 = 29750,2
Таким образом, все получили по 29754, а 2-ой 29750,2.
Более близких друг к другу чисел мне подобрать не удалось.
4,4(36 оценок)
Это интересно:
Новые ответы от MOGZ: Математика
logo
Вход Регистрация
Что ты хочешь узнать?
Спроси Mozg
Открыть лучший ответ