М
Молодежь
К
Компьютеры-и-электроника
Д
Дом-и-сад
С
Стиль-и-уход-за-собой
П
Праздники-и-традиции
Т
Транспорт
П
Путешествия
С
Семейная-жизнь
Ф
Философия-и-религия
Б
Без категории
М
Мир-работы
Х
Хобби-и-рукоделие
И
Искусство-и-развлечения
В
Взаимоотношения
З
Здоровье
К
Кулинария-и-гостеприимство
Ф
Финансы-и-бизнес
П
Питомцы-и-животные
О
Образование
О
Образование-и-коммуникации
Королева6743
Королева6743
15.07.2021 09:25 •  Математика

Морская вода содержит 5 % соли .сколько кг пресной воды надо добавить к 40 кг морской воды,чтобы содержание соли составляло 2 %

👇
Ответ:
23050309
23050309
15.07.2021
В 40 кг морской воды 40*5% = 40*0,05 = 2 кг соли.
пропорция:
2 кг - 2%
x кг - 100%
x = 2*100%:2% = 2*50 = 100 кг - масса нового раствора.
100-40 = 60 кг - нужно добавить пресной.
уравнение:
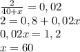
Пусть нужно добавить x кг пресной воды. Тогда
\frac{2}{40+x}=0,02\\2=0,8+0,02x\\0,02x=1,2\\x=60
4,5(20 оценок)
Открыть все ответы
Ответ:
AliceMysova
AliceMysova
15.07.2021
РЕШЕНИЕ
Координаты точек:
А(3;0) и В(0;5)
Пишем систему из двух уравнений для этих двух точек.
(3-a)² + 0² = R² - для точки А
(0-а)² + 5² = R² - для точки В
Приравняли уравнения.
9 - 6a + a² = а²+25
6*а = 9-25 = - 16
а = - 16:6 = - 2 2/3 - смещение по оси ОХ 
Подставим значение - а - в уравнение. 
(3 +2 2/3)² = R² = (5 2/3)² = 32 1/9 = 289/9
R = √(289/9) - √(17/3)² = 17/3 = 5 2/3 - радиус окружности.
Уравнение окружности
(x + 2 2/3)² + y² = (5 2/3)² - ОТВЕТ
Рисунок в подтверждение расчета - http://prntscr.com/hhr5et
4,8(48 оценок)
Ответ:
stecykuliamail
stecykuliamail
15.07.2021
По горизонтали
2. Уплата в казну 5 % от поголовья скота
6. высшая судебная функция была в руках...
8. к какому сословию относились ханы,султаны,чингизиды
9. из кого выбирали ханов
11. Сколько было разделов в Светлом пути Касыма
12. Основной социальной и политической ячейкой казахского общества была
15. организация политической власти, осуществляющая управление обществом и обеспечивающая в нем порядок и стабильность
18. Белая кость Казахского ханства состояла из...

По вертикали
1. Во главе улусов стояли … . назначаемые ханом 
3. Одной из главных форм организации общества 
4. Съезд султанов и представителей общин 
5. Кто из казахских ханов одержал победу в Орбулакской битве? 
7. Ханы избирались из 
10. выборы хана проводились 
13. Налог в виде пошлины 
14. как называется отрицание у кочевников государств европейскими учеными 
16. Сын хана Сыгая, фатически правивший вместо него 
17. Поземельный налог с оседлого населения 

ответы:
4,6(4 оценок)
Это интересно:
Новые ответы от MOGZ: Математика
logo
Вход Регистрация
Что ты хочешь узнать?
Спроси Mozg
Открыть лучший ответ