М
Молодежь
К
Компьютеры-и-электроника
Д
Дом-и-сад
С
Стиль-и-уход-за-собой
П
Праздники-и-традиции
Т
Транспорт
П
Путешествия
С
Семейная-жизнь
Ф
Философия-и-религия
Б
Без категории
М
Мир-работы
Х
Хобби-и-рукоделие
И
Искусство-и-развлечения
В
Взаимоотношения
З
Здоровье
К
Кулинария-и-гостеприимство
Ф
Финансы-и-бизнес
П
Питомцы-и-животные
О
Образование
О
Образование-и-коммуникации
Qwerfcsfvfw
Qwerfcsfvfw
29.06.2020 01:19 •  Математика

Выражение: а) x^2(x+1)^2-x^4-2x^3 б)(x+2)(x+1)^2-x^3 в) x^2(x-2)^2-x^4

👇
Ответ:
edomokurov
edomokurov
29.06.2020
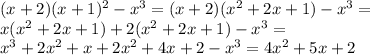
А) x^2(x+1)^2-x^4-2x^3 = 
 x^2(x^2+2x+1)-x^4-2x^3 = \\
 x^4+2x^3+x^2-x^4-2x^3 = x^2

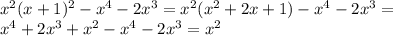
б) (x+2)(x+1)^2-x^3 = (x+2)(x^2+2x+1)-x^3 = \\ x(x^2+2x+1) + 2(x^2+2x+1)-x^3 = \\ x^3+2x^2+x + 2x^2+4x+2-x^3 = 4x^2+5x+2

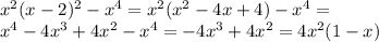
в) x^2(x-2)^2-x^4 = 
x^2(x^2-4x+4)-x^4=\\
x^4-4x^3+4x^2-x^4=
-4x^3+4x^2=4x^2(1-x)
4,4(44 оценок)
Открыть все ответы
Ответ:
Yar4ik03
Yar4ik03
29.06.2020

НОД

67  І     67            72 І    2

1     І       1            36 І    2

                            18 І    2

                              9І    3

                              3І    3

                              1 !    1

НОД  1*1 общий делитель равен одному

НОК

67  І     67            72 І    2

1     І       1            36 І    2

                            18 І    2

                              9І    3

                              3І    3

                              1 !    1

НОК = 2*2*2*3*3*67=4824

Пошаговое объяснение:

4,5(55 оценок)
Ответ:
ученик1890
ученик1890
29.06.2020

Пошаговое объяснение:

y'' +2y' = 3ex(cos(x)+sin(x))

Решение уравнения будем искать в виде y = erx с калькулятора. Для этого составляем характеристическое уравнение линейного однородного дифференциального уравнения с постоянными коэффициентами:

r2 +2 r + 0 = 0

D = 22 - 4 • 1 • 0 = 4

Корни характеристического уравнения:

r1 = 0

r2 = -2

Следовательно, фундаментальную систему решений составляют функции:

Общее решение однородного уравнения имеет вид:

Рассмотрим правую часть:

f(x) = 3•ex•(cos(x)+sin(x))

Поиск частного решения.

Линейное дифференциальное уравнение с постоянными коэффициентами и правой частью вида:

R(x) = eαx(P(x)cos(βx) + Q(x)sin(βx)), где P(x), Q(x) - некоторые полиномы

имеет частное решение

y(x) = xkeαx(R(x)cos(βx) + S(x)sin(βx))

где k - кратность корня α+βi характеристического полинома соответствующего однородного уравнения, R(x), S(x) - полиномы, подлежащие определению, степень которых равна максимальной степени полиномов P(x), Q(x).

Здесь P(x) = 0, Q(x) = 0, α = 1, β = 1.

Следовательно, число α + βi = 1 + 1i не является корнем характеристического уравнения .

Уравнение имеет частное решение вида:

y* = ex(Acos(x) + Bsin(x))

Вычисляем производные:

y' = ex((B-A)•sin(x)+(A+B)•cos(x))

y'' = 2•ex(B•cos(x)-A•sin(x))

которые подставляем в исходное дифференциальное уравнение:

y'' + 2y' = (2•ex(B•cos(x)-A•sin(x))) + 2(ex((B-A)•sin(x)+(A+B)•cos(x))) = 3•ex•(cos(x)+sin(x))

или

-4•A•ex•sin(x)+2•A•ex•cos(x)+2•B•ex•sin(x)+4•B•ex•cos(x) = 3•ex•(cos(x)+sin(x))

Приравнивая коэффициенты при одинаковых степенях х, получаем систему уравнений:

-4A + 2B = 3

2A + 4B = 3

Решая ее методом обратной матрицы, находим:

A = -3/10;B = 9/10;

Частное решение имеет вид:

y* = ex(-3/10cos(x) + 9/10sin(x))

Таким образом, общее решение дифференциального уравнения имеет вид:

4,5(15 оценок)
Новые ответы от MOGZ: Математика
logo
Вход Регистрация
Что ты хочешь узнать?
Спроси Mozg
Открыть лучший ответ