S, км V, км/ч t, ч
Л. 2x x 2
Г. 5(x-48) x-48 5
Пусть x км/ч - скорость легковой машины, тогда (x-48) км/ч - скорость грузовика. Составляем уравнение:

80 км/ч - скорость движения легковой машины.
2) 80 - 48 = 32 км/ч - скорость движения грузовика.
ответ: 80 км/ч; 32 км/ч
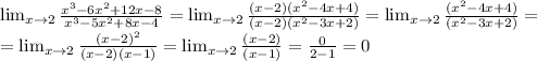
ответ: 15
Пошаговое объяснение:1.Найдётся 12 рогаликов на которых есть глазурь и сахарная пудра – неверно, так как глазурью покрыто только 10!
2.Найдётся 5 рогаликов на которых нет ни глазури ни сахарной пудры
Верно. 10 в глазури, 20 в сахарной пудре, всего 35.
Если глазированные и покрытые сахарной пудрой не пересекаются. то все равно есть 5 не покрытых ни глазурью, ни сахарной пудрой.
3.Рогаликов на которых есть и глазурь и сахарная пудра не может оказаться меньше 14
Нет. Так как покрытых глазурью 10.
4.рогаликов на которой нет ни глазури и нет ни сахарной пудры не может оказаться больше 15
Нет. Если все рогалики, которые покрыты глазурью, посыпать сахарной пудрой, то останется 10 рогаликов, которые покрыты только сахарной пудрой
10+10=20
35–20=15
Может быть, что останется ровно 15, но больше 15–ти непокрытых никогда не останется.