М
Молодежь
К
Компьютеры-и-электроника
Д
Дом-и-сад
С
Стиль-и-уход-за-собой
П
Праздники-и-традиции
Т
Транспорт
П
Путешествия
С
Семейная-жизнь
Ф
Философия-и-религия
Б
Без категории
М
Мир-работы
Х
Хобби-и-рукоделие
И
Искусство-и-развлечения
В
Взаимоотношения
З
Здоровье
К
Кулинария-и-гостеприимство
Ф
Финансы-и-бизнес
П
Питомцы-и-животные
О
Образование
О
Образование-и-коммуникации

X/3-(x+8)/6=(3*x+2)/9-(x+11)/6 решить линейное уравнение

👇
Ответ:
20kokosik26
20kokosik26
17.01.2021
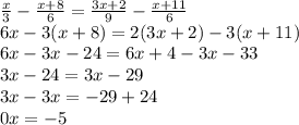
\frac{x}{3} - \frac{x+8}{6} = \frac{3x+2}{9} - \frac{x+11}{6} \\ 
6x-3(x+8)=2(3x+2)-3(x+11) \\ 
6x-3x-24=6x+4-3x-33 \\ 
3x-24=3x-29 \\ 
3x-3x=-29+24 \\ 
0x=-5 \\

Нет корней , так как на нуль делить нельзя
ответ: нет корней
4,5(73 оценок)
Открыть все ответы
Ответ:
joi7
joi7
17.01.2021
"Огонь - наш друг, огонь - наш враг" Порецкова Т.Е. Шипит и злится, воды боится. С языком, а не лает, с зубами, а не кусается Давным-давно человек добыл огонь. Постепенно он научились использовать силу огня. Готовим пищу у огня Греемся у огня Используя огонь, гончары обжигают свои изделия в печи Освещение Работа с огнём Огонь, вышедший из повиновения, не щадит никого и ничего Эта профессия важная самая отважная. Злой огонь он побеждает, Правилами предупреждает. Он на всем придет И из тьмы угарной,Правильно, пожарный! И в школе, в больнице, И в детском саду. Стоит он на страже, Стоит на посту. О нем знает каждый житель, Называется он – огнетушитель! Рыжий зверь в печи сидит Рыжий зверь на всех сердит! Он со злости ест дрова Может час, а может два. Ты его рукой не тронь, Искусает всю ладонь, Побежал огонь опасный,На столе всё стало красным.Кукла вся уже в огне,Пляшет пламя на стене!
Вызовайте пожарную команду по телефону У огня свои повадки, Он играть не любит в прятки Дома, на улице, ночью и днем Будьте всегда осторожны с огнем!
4,7(34 оценок)
Ответ:

смотри вложение,посчетал проверь только ход действий сам(а)

1)(0,216*0,2(6)+0,(6)*0,15)/(0,15*0,2(6))=(0,0576+0,1)/0,04=3,94

6)3.94-1,94=2


0,(6)=х

6,6=10х

6,6-0,6=10х-х

9х=6

х=6/9=0,66666666666666=0,(6)

0,2(6)=х

26,6=100х

266,6=1000х

266,6-26,6=1000х-100х

900х=240

х=24/90=0,266666666666666=0,2(6)


1) 0,216/0,15+6/9/24/90=0,216/0,15+6/9*90/24=0,216/0,15+(6*90/9*24)=0,216/0,15+(540/216)=1,44+2,5=3,94


2)695/1000*100/139=695/1390=0,5

3)77/10*4/99=77*2/5*99=144/495=0,291

4)196/225=0,871

5)(0,871-0,291+0,5)*1,8=1,08*1,8=1,94

6)3,94-1,94=2
4,8(5 оценок)
Новые ответы от MOGZ: Математика
logo
Вход Регистрация
Что ты хочешь узнать?
Спроси Mozg
Открыть лучший ответ