М
Молодежь
К
Компьютеры-и-электроника
Д
Дом-и-сад
С
Стиль-и-уход-за-собой
П
Праздники-и-традиции
Т
Транспорт
П
Путешествия
С
Семейная-жизнь
Ф
Философия-и-религия
Б
Без категории
М
Мир-работы
Х
Хобби-и-рукоделие
И
Искусство-и-развлечения
В
Взаимоотношения
З
Здоровье
К
Кулинария-и-гостеприимство
Ф
Финансы-и-бизнес
П
Питомцы-и-животные
О
Образование
О
Образование-и-коммуникации
ЯМС
ЯМС
18.08.2021 09:39 •  Математика

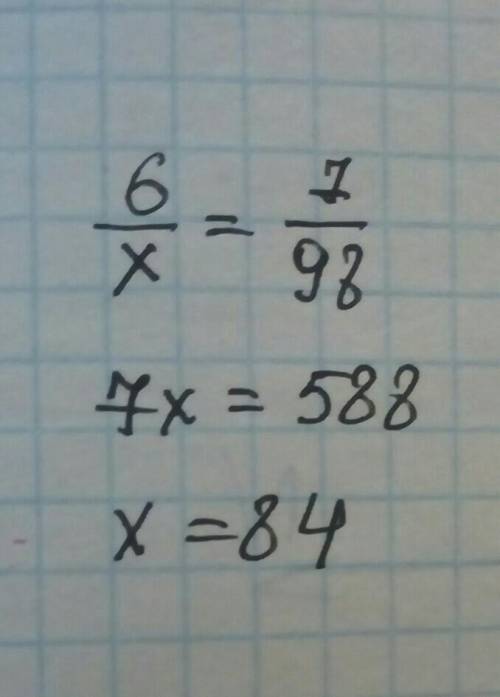
Будьте так любезны ответить на вопрос по предмету 6 класс. сам вопрос звучит так 6/х = 7/98. 90

👇
Ответ:
prasolovadd
prasolovadd
18.08.2021

решение на фото.....


Будьте так любезны ответить на вопрос по предмету 6 класс. сам вопрос звучит так 6/х = 7/98. 90
4,8(85 оценок)
Открыть все ответы
Ответ:
vladilichev
vladilichev
18.08.2021
Если перед скобкой только минус - принимай, что перед ней стоит (- 1).
Существует правило: a (b + c) = ab + ac.
Таким образом, умножаешь множитель перед скобкой на каждый член в скобках.
Если можно разложить по формуле (как в третьем примере (7 - с)²) - раскладывай.
В конце сокращай подобные члены (например, если у тебя есть 5а + 8а + 13с, то это можно представить как 13а + 13с)

3a (2b - 5) + 3m (5 - 2b) = 6ab - 15a + 15m - 6bm
- (a + 3b) - 5 (a + 3b)² = - a - 3b - 5 (a² + 6аb + 9b²) = - a - 3b - 5a² - 30аb - 45b² = - а - 3b - 5a² - 30ab - 45b²
(с - 7)х - у(7 - с)² = сх - 7х - у (49 - 14с + с²) = сх - 7х - 49у + 14су - с²у
4,7(5 оценок)
Ответ:
Mara6458
Mara6458
18.08.2021
уравнение:                   изменённое уравнение:
а*7 =224                         а*7=448:2
а=224:7                          а*7=224
а=32                               а=224:7
                                       а=32

r:9 =97                         r:9=100-3
r=97*9                         r:9=97
r=873                           r=97*9
                                    r=873

571-x=389                 571-х=278+111
-х=389-571                571-х=389
-х=-182                      -х=389-571
х=182                         -х=-182
                                   х=182

178+e=435               178+е=87*5
е=435-178                178+е=435
е=257                       е=435-178
                                 е=257
4,8(6 оценок)
Новые ответы от MOGZ: Математика
logo
Вход Регистрация
Что ты хочешь узнать?
Спроси Mozg
Открыть лучший ответ