М
Молодежь
К
Компьютеры-и-электроника
Д
Дом-и-сад
С
Стиль-и-уход-за-собой
П
Праздники-и-традиции
Т
Транспорт
П
Путешествия
С
Семейная-жизнь
Ф
Философия-и-религия
Б
Без категории
М
Мир-работы
Х
Хобби-и-рукоделие
И
Искусство-и-развлечения
В
Взаимоотношения
З
Здоровье
К
Кулинария-и-гостеприимство
Ф
Финансы-и-бизнес
П
Питомцы-и-животные
О
Образование
О
Образование-и-коммуникации
ярок228666
ярок228666
18.10.2022 03:47 •  Математика

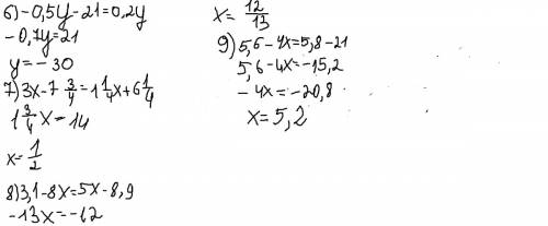
6)-0,5у-21=0,2у 7) 3х-7 3/4=1 1/4х+6 1/4 8)3,1-8х=5х-8,9 9)5,6-4х=5,8-21

👇
Ответ:
viktpriabihanov
viktpriabihanov
18.10.2022
Решения и ответы прикреплены
6)-0,5у-21=0,2у 7) 3х-7 3/4=1 1/4х+6 1/4 8)3,1-8х=5х-8,9 9)5,6-4х=5,8-21
4,8(78 оценок)
Открыть все ответы
Ответ:
ЗиА11
ЗиА11
18.10.2022
В последнее время вокруг нас все больше и больше ярких цветов. Люди в погоне за вниманием носят вещи неоьычных цветов, покупают машины, выбирая по цвету и даже волосы окрашивают в нереальные оттенки.
Но понимаем ли мы значение каждого цвета и то как он влияет на наше мышление и мнение окружающих.
Проьлематикой данного проекта является личностное отношение каждого человека к одним и тем же вещам. В виду этого нельзя окончательно сказать про влияние одного и того же цвета на разных лбдей.
( не знаю что вооьще по проблеме писать, если не так, то скажи)
4,8(47 оценок)
Ответ:
dulat15
dulat15
18.10.2022
В беседах главных героев Экзюпери (к примеру, в "Маленьком принце") вообще много предположений, доводов и "дум" по поводу психологии, поведения человека. Мораль выносит высокую нравственность и доброжелательность к другим, а также ответственность за свои поступки ("мы в ответе за тех, кого приручили"), т.е. переформулируется идея сильного человека. 
Бредбери же в рассказе "451 градус по Фаренгейту" даёт представление о том, каким должен быть человек и мир, через антитезу, т.е. противопоставление. Нравственный путь, который проходит Гай Монтэг, показывает читателю, каким должен быть человек и каким должен быть мир, за который он должен бороться. Ведь если вспомнить идейную проблематику вышеупомянутого рассказа, то идея по типу "сохранения культурного фонда и мировой литературы" носит весьма высокий и благородный характер.
"Маленького принца" можно прочитать за пару часов, если не больше. Попробуй сделать вывод, что хотел передать читателю автор.
4,8(69 оценок)
Новые ответы от MOGZ: Математика
logo
Вход Регистрация
Что ты хочешь узнать?
Спроси Mozg
Открыть лучший ответ