М
Молодежь
К
Компьютеры-и-электроника
Д
Дом-и-сад
С
Стиль-и-уход-за-собой
П
Праздники-и-традиции
Т
Транспорт
П
Путешествия
С
Семейная-жизнь
Ф
Философия-и-религия
Б
Без категории
М
Мир-работы
Х
Хобби-и-рукоделие
И
Искусство-и-развлечения
В
Взаимоотношения
З
Здоровье
К
Кулинария-и-гостеприимство
Ф
Финансы-и-бизнес
П
Питомцы-и-животные
О
Образование
О
Образование-и-коммуникации
nastenka19832
nastenka19832
27.05.2023 18:09 •  Математика

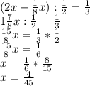
Решить уравнение (2х-1/8 х): 1/2=1/3

👇
Ответ:
polikarpova05
polikarpova05
27.05.2023
(2x- \frac{1}{8}x) : \frac{1}{2} = \frac{1}{3} \\ 1 \frac{7}{8} x: \frac{1}{2} = \frac{1}{3} \\ \frac{15}{8} x= \frac{1}{3} * \frac{1}{2} \\ \frac{15}{8}x= \frac{1}{6} \\ x= \frac{1}{6} * \frac{8}{15} \\ x= \frac{4}{45}
4,4(69 оценок)
Открыть все ответы
Ответ:
sofiacat06
sofiacat06
27.05.2023

Головний герой цієї повісті — Гуллівер. Він народився в сім'ї небагатого вельможі, що мав маєток у Нотгінгемпширі. На чотирнадцятому році його віддали до коледжу в Кембріджі. Але у батька не стало коштів тримати його там довше, ніж три роки.

Потім Гуллівер провчився чотири роки у видатного лондонського хірурга містера Бетса і став лікарем. Гроші, які надсилав йому батько, він витрачав на книги з мореплавства та пов'язаних із ним галузей математики, бо мріяв стати мандрівником. Згодом Лемюель два роки і сім місяців вивчав природознавство у Лейденському університеті в Голландії.

За рекомендацією містера Бетса, Гуллівер найнявся лікарем на корабель "Ластівка" і проплавав на ньому три з половиною роки, побувавши у країнах Східного Середземномор'я.

Після плавання, за порадою друзів, він одружився з Мері Берген — дочкою власника панчішної крамниці Ермунда Бертона. Щоб поліпшити матеріальне становище сім'ї, Гуллівер вирушає у плавання на кораблі "Антилопа" в Ост-Індію. Тоді йому було приблизно 30—33 роки.

На мою думку, Гуллівер мав приємну зовнішність. Він середній на зріст, зі стрункою постаттю, каштановим волоссям, гострими рисами обличчя.

З твору видно, що Гуллівер мав позитивні риси характеру. Автор відзначає його людяність: "... (Гуллівер) рішуче відмовився бути знаряддям закріпачення вільного та відважного народу...", підкреслює сміливість: "Поки я порався з цим, вороги пускали тисячі стріл, і багато з них впивалися мені в руки та обличчя, завдаючи пекучого болю й заважаючи мені працювати..."

Допитливість Гуллівера простежується упродовж усього твору: ".-а буваючи на березі, приглядався до побуту і звичаїв людей і водночас вивчав чужоземні мови..." Цьому герою притаманні такі риси як витривалість ("Перше речення, яке я вивчив, було прохання повернути мені волю. ...імператор відповідав, що це справа часу, що розв'язати її він може тільки у згоді з радою...") і великодушність ("...Полковник наказав схопити шістьох заводіяк... і віддати зв'язаних мені до рук я перерізав ножем нитки, якими він був зв'язаний і обережно спустив його на землю...").

Розум та винахідливість багато разів допомагали Гулліверу під час цієї мандрівки: "...за три тижні я зробив великі успіхи у вивченні їхньої мови..."; "...умисно не підходив до берега, щоб мене не помітили з якогось ворожого корабля..."; "...Я сплів канат удвоє, щоб зробити його міцнішим і з тією ж метою поскручував залізні бруси втроє..."

Гуллівер з добротою та повагою ставився до інших. Він чемно поводився, коли був у полоні заслужив цим прихильність імператора Ліліпутії і симпатію більшості його підданих, хоч і міг би звільнитися та знищити цю державу і її маленьких людей.

Крім того, він погодився на всі умови звільнення, незважаючи на те, що деякі з них були не такі, як йому здавалося, почесні. Гуллівер запобіг нападу на Ліліпутію ворожої держави Блефуску.

Автор повісті зауважує, що Гуллівер мав добре виховання. І це підтверджується його мовою, розумною та культурною.

Частина вельмож та міністрів Ліліпутії прихильно ставилася до Гуллівера, і коли обговорювався акт обвинувачення, вони не виступали проти Гуллівера. Тим часом Флімнап та Бол голам, вороги Гуллівера, що прагнули його знищиш, у спілці з деякими чиновниками обвинуватили його у державній зраді.

Дж. Свіфт показав Гуллівера як гідну людину. Порівнюючи його з ліліпутами, автор висміював претензії на світове панування англійських монархів, їхніх міністрів та царедворців, несправедливість суспільного життя у всій Європі.

Надеюсь так)

4,5(37 оценок)
Ответ:
evstratova05
evstratova05
27.05.2023

Первая при переломах костей заключается в обработке раны антисептиками, обезболивании и обездвиживании травмированной части тела (транспортная иммобилизация). Рана образуется при открытых переломах, когда острые края костных отломков нарушают целостность кожи и выходят наружу. Такие дефекты кожи подвержены инфицированию, что вызывает гнойные осложнения в виде остеомиелита, флегмоны, сепсиса. Края раны необходимо обработать раствором бриллиантовой зелени, перекиси водорода, йода и наложить стерильную марлевую повязку.

Запрещено самостоятельно вправлять костные отломки внутрь раны. Это приведет к повреждению мягких тканей и вызовет болевой шок у пострадавшего. При возникновении наружного кровотечения накладывают давящую повязку или медицинский жгут. Артериальное кровотечение характеризуется фонтанирующей струей крови яркого красного цвета. В таком случае жгут накладывают выше места травмы. Кровотечение из вены сопровождается вытеканием вялой струи крови темно-вишневого цвета, при этом давящую повязку накладывают ниже места поврежденного сосуда. Закрытые переломы обычно сопровождаются внутренним кровотечением. В таких случаях к месту образования гематомы следует приложить пакет со льдом.

Для снижения интенсивности болевых ощущений дают анальгетики – кеторолак, максиколд, пенталгин. После обработки раны, остановки кровотечения из поврежденного сосуда и обезболивания приступают к наложению шин для обездвиживания деформированных костей. Транспортная иммобилизация – это важное звено первой при переломах. Доставлять пострадавшего в травмпункт или травматологическое отделение необходимо после иммобилизации поврежденной конечности. Это предупреждает травмирование мягких тканей, а также развитие болевого (травматического) шока, который может вызвать смертельный исход.

Для транспортной иммобилизации используют стандартные медицинские шины или при из подручных материалов. Стандартные медицинские шины находятся в арсенале медпунктов, травмпунктов, бригад скорой При оказании неотложной непрофессионалами часто приходится использовать импровизированные шины, изготовленные из веток, лыжных палок, картона, лыж, дощечек.

4,7(14 оценок)
Это интересно:
Новые ответы от MOGZ: Математика
logo
Вход Регистрация
Что ты хочешь узнать?
Спроси Mozg
Открыть лучший ответ