М
Молодежь
К
Компьютеры-и-электроника
Д
Дом-и-сад
С
Стиль-и-уход-за-собой
П
Праздники-и-традиции
Т
Транспорт
П
Путешествия
С
Семейная-жизнь
Ф
Философия-и-религия
Б
Без категории
М
Мир-работы
Х
Хобби-и-рукоделие
И
Искусство-и-развлечения
В
Взаимоотношения
З
Здоровье
К
Кулинария-и-гостеприимство
Ф
Финансы-и-бизнес
П
Питомцы-и-животные
О
Образование
О
Образование-и-коммуникации
Annet483
Annet483
24.06.2020 19:11 •  Математика

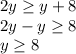
Решите неравенство 2у больше или равно у + 8

👇
Ответ:
Nikitos220220
Nikitos220220
24.06.2020
2y \geq y+8
 \\ 2y-y \geq 8
 \\ y \geq 8
4,4(66 оценок)
Открыть все ответы
Ответ:
аяшка3
аяшка3
24.06.2020
                               Скорость        Время          Расстояние
1-й вертолёт         82 миль/ч          8 ч                       ?
2-й вертолёт               ?                   8 ч                       ?
Расстояние между городами          8 ч             1 264 мили


1) 1 264 : 8 = 158 (миль/ч) - скорость сближения;
2) 158 - 82 = 76 (миль/ч) - скорость второго вертолёта.


1) 82 * 8 = 656 (миль) - пролетел 1-й вертолёт за 8 часов;
2) 1 264 - 656 = 608 (миль) - пролетел 2-й вертолёт за 8 часов;
3) 608 : 8 = 76 (миль/ч) - скорость второго вертолёта.
ответ: 76 миль/ч.
4,4(71 оценок)
Ответ:
blaccyee0666
blaccyee0666
24.06.2020
№ 1. Пусть х (км/ч) - скорость автобуса, тогда х + 20 (км/ч) - скорость автомобиля. Уравнение:
х + х + 20 = 375 : 2,5
2х = 150 - 20
х = 130 : 2 = 65 (км/ч) - скорость автобуса
65 + 20 = 85 (км/ч) - скорость автомобиля

№ 2. 
2,36 * 25 + 1,04 * 17 + 1,04 * 8 = 2,36 * 25 + 1,04 * (17 + 8) =2,36 * 25 + 1,04 * 25 = 25 * (2,36 + 1,04) = 25 * 3,4 = 85

№ 3. Пусть х (км/ч) - скорость одного поезда, тогда х + 10 (км/ч) - скорость другого поезда. Уравнение:
х + х + 10 = 490 : 3,5
2х = 140 - 10
х = 65 (км/ч) - скорость одного поезда
65 + 10 = 75 (км/ч) - скорость другого поезда
4,4(51 оценок)
Это интересно:
Новые ответы от MOGZ: Математика
logo
Вход Регистрация
Что ты хочешь узнать?
Спроси Mozg
Открыть лучший ответ