
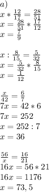
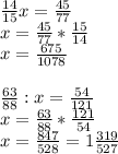
А) 21 | 3 Б) 42 | 2
7 | 7 21 | 3
1 | 1 7 | 7
21 = 3 · 7 1
42 = 2 · 3 · 7
- - - - - - - - - - - - - - - - - - - - - - - - - - - - - - - - - - - - - - - -
В) 455 | 5 Г) 12820 | 2
91 | 7 6410 | 2
13 | 13 3205 | 5
1 641 | 641 - простое число
455 = 5 · 7 · 13 1
12820 = 2² · 5 · 641