М
Молодежь
К
Компьютеры-и-электроника
Д
Дом-и-сад
С
Стиль-и-уход-за-собой
П
Праздники-и-традиции
Т
Транспорт
П
Путешествия
С
Семейная-жизнь
Ф
Философия-и-религия
Б
Без категории
М
Мир-работы
Х
Хобби-и-рукоделие
И
Искусство-и-развлечения
В
Взаимоотношения
З
Здоровье
К
Кулинария-и-гостеприимство
Ф
Финансы-и-бизнес
П
Питомцы-и-животные
О
Образование
О
Образование-и-коммуникации
ляляля06
ляляля06
18.11.2021 04:55 •  Математика

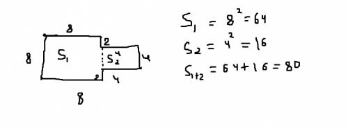
Начерти фигуру на бумаге в клетку по описанию 8 клеток вправо 2 вниз 4 вправо ,4 вниз, 4 влево,2 вниз,8 влево,8 вверх найди площадь периметр одного квадрата ,а затем всей фигуры.

👇
Ответ:
hrustam2004
hrustam2004
18.11.2021
Во вложении..................
Начерти фигуру на бумаге в клетку по описанию 8 клеток вправо 2 вниз 4 вправо ,4 вниз, 4 влево,2 вни
4,6(72 оценок)
Открыть все ответы
Ответ:
alanka280606
alanka280606
18.11.2021
Последняя цифра числа 947³⁵ будет определяться изменением последней цифры основания 947, т.е. цифры 7.Рассмотрим ее изменение по степеням:
1)   7 = 7       1 ст.
2)   7 * 7 = 49       2 ст.
3)   7 * 7 * 7 = 343       3 ст.
4)   7 * 7 * 7 * 7 = 2401       4 ст.
5)   7 * 7 * 7 * 7 * 7 =  16807      5 ст.
6)   7 * 7 * 7 * 7 * 7 * 7 = 117649       6 ст.
7)    7 * 7 * 7 * 7 * 7 * 7 * 7 = 823543        7 ст. 
8)    7 * 7 * 7 * 7 * 7 * 7 * 7 * 7 = 5764801        8 ст. 
9)    7  * 7 * 7 * 7 * 7 * 7 * 7 * 7 * 7 = 40353607       9 ст.
Мы видим повторение последней цифры через каждые 4 степени.
Заданна 35-я степень. 
35 : 4 = 8 ( ост.3).
Т.е. при возведении в 35-ю степень пройдет 8 полных периодов повторения (7; 9; 3; 1) и последняя цифра 35-ой степени будет равна последней цифре третьей степени, т.е. 3
ответ: тридцать пятая степень числа 947 оканчивается на 3
4,4(69 оценок)
Ответ:
Если скорость течения реки 3 км/ч,
то скорость теплохода в спокойной воде будет 28+3 =31 км/ч( потому что течение реки отнимает те самые свои 3 км/ч)
Таким образом по течению реки мы эти 3 км/ч должны добавить к скорости теплохода в стоячей воде 
Так по течению реки теплоход пройдет за 1 час
31+3 =34 км 
Это и есть ответ

В книге 440 страниц ученик прочитал в субботу 65% всей книги,
а в воскресенье- ещё 1/7 оставшихся страниц . сколько страниц ему осталось прочитать в понедельник чтобы прочитать всю книгу

Вся книга 100%
Поэтому  то есть
1). 440*0,65=286 стр - прочитал ученик в субботу  (65% всей книги)
2) 440 - 286=154 стр осталось после субботы
3) 154: 7 = 22 стр ученик прочел в воскресенье
4) 154 - 22 = 131 стр осталось прочесть в понедельник
ответ 131стр
4,5(4 оценок)
Это интересно:
Новые ответы от MOGZ: Математика
logo
Вход Регистрация
Что ты хочешь узнать?
Спроси Mozg
Открыть лучший ответ