М
Молодежь
К
Компьютеры-и-электроника
Д
Дом-и-сад
С
Стиль-и-уход-за-собой
П
Праздники-и-традиции
Т
Транспорт
П
Путешествия
С
Семейная-жизнь
Ф
Философия-и-религия
Б
Без категории
М
Мир-работы
Х
Хобби-и-рукоделие
И
Искусство-и-развлечения
В
Взаимоотношения
З
Здоровье
К
Кулинария-и-гостеприимство
Ф
Финансы-и-бизнес
П
Питомцы-и-животные
О
Образование
О
Образование-и-коммуникации
205ячсмит
205ячсмит
29.03.2022 01:01 •  Математика

Найти область определения функции

👇
Ответ:
25424446645
25424446645
29.03.2022

////////////////////////////////////


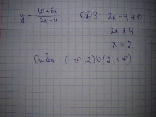
Найти область определения функции
4,5(55 оценок)
Открыть все ответы
Ответ:
nk9696
nk9696
29.03.2022
У алёнки  и светы  - 11конфет                                                                                  у алёнки и веры    -  12конфет                                                                                1 светы и веры     - 13конфет                                                                                  сколько - ?конфет                                                                                                                                                   решение с пояснением:                                            1)11+12=23                                                                                                                2)23-13=10                                                                                                                3)10+23-11+12=34     ответ:конфет у каждой девочки 34.
4,4(61 оценок)
Ответ:
Lybava13322131
Lybava13322131
29.03.2022

Пошаговое объяснение:

Түркістан қаласы - тегі бір, тарихы ортақ түркі елдерінің түп қазығы. Қала жыл санап көркейіп келеді. Түркістан исі мұсылман елдері үшін ғана емес, дүниежүзі халқы үшін де қадірлі мекенге айналған. Мұнда жыл сайын әлемнің түкпір-түкпірі мен еліміздің әр аймағынан 700 мыңнан астам адам келеді. Туризмді дамытып, саяхаттап келушілерге сапалы қызмет көрсету мақсатында жергілікті билік бірнеше жобаларды қолға алған. Түркістандағы ірі әлеуметтік жобаны басым көпшілігі туристік саланы дамытумен байланысты. Қожа Ахмет Иасауи кесенесі маңында бизнестің әлеуметтік жауапкершілігі аясында 200 орынға лайықталған туристік орталық салынуда. Онда қонақ үй, тамақтанатын орын, автотұрақ қарастырылған. Ал екінші ғимарат «Қолөнер шеберлерінің орталығы» деп аталады. Қос нысанның құрылысына облыстық бюджеттен 700 млн. теңгеге жуық қаражат бөлінген.

4,6(61 оценок)
logo
Вход Регистрация
Что ты хочешь узнать?
Спроси Mozg
Открыть лучший ответ