М
Молодежь
К
Компьютеры-и-электроника
Д
Дом-и-сад
С
Стиль-и-уход-за-собой
П
Праздники-и-традиции
Т
Транспорт
П
Путешествия
С
Семейная-жизнь
Ф
Философия-и-религия
Б
Без категории
М
Мир-работы
Х
Хобби-и-рукоделие
И
Искусство-и-развлечения
В
Взаимоотношения
З
Здоровье
К
Кулинария-и-гостеприимство
Ф
Финансы-и-бизнес
П
Питомцы-и-животные
О
Образование
О
Образование-и-коммуникации
belovavaleriya
belovavaleriya
26.11.2020 22:32 •  Математика

Найдите угловой коэффициент касательной к графику функции y=-3sin2x+5cos3x-7 в точке с абсциссой x0=п/2

👇
Ответ:
maksim5555695656
maksim5555695656
26.11.2020
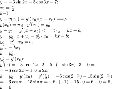
y=-3\sin2x+5\cos3x-7;\\
x_0=\frac\pi2\\
k-?\\
y-y(x_0)=y'(x_0)(x-x_0)==\\
y(x_0)=y_0;\ \ y'(x_0)=y'_0;\\
y-y_0=y'_0(x-x_0)y=kx+b;\\
y=y'_0\cdot x+y_0-y'_0\cdot x_0=kx+b;\\
y_0-y'_0\cdot x_0=b;\\
y'_0x=kx;\\
k=y'_0;\\
y'_0=y'(x_0);\\
y'(x)=-3\cdot\cos2x\cdot2+5\cdot(-\sin3x)\cdot3-0=\\
=-6\cos2x-15\sin2x;\\
k=y'_0=y'(x_0)=y'(\frac\pi2)=-6\cos(2\cdot\frac\pi2)-15\sin(2\cdot\frac\pi2)=\\
=-6\cos\pi-15\sin\pi=-6\cdot(-1)-15\cdot0=6-0=6;\\
k=6
4,7(87 оценок)
Открыть все ответы
Ответ:

Давайте обозначим наше однозначное число как a.

После увеличения на 10 единиц стало a+10.

a*(1+x/100)  - где x-количество процентов,

и еще раз умножим на то же самое (1+x/100) и приравняем это все к 45 по условию:

a*(1+x/100)^2 = 45

Теперь рассмотрим число 45, его можно разложить на множители 45 = 3*3*5, видим, что имеется квадрат тройки, значит подставим 3^2 и проверим: a * 3^2 = 45;

a = 45/9 = 5. Наше искомое число, не должно быть больше 10, проверим 5<10 - подходит, конечно, можно рассмотреть и другие варианты, типа 15, но результат получится отрицательным и это нам не подойдет. Думаю, что основная мысль понятна, желаю удачи.

4,5(70 оценок)
Ответ:
krav4enkom
krav4enkom
26.11.2020

Организм человека состоит примерно на 65% из воды, поэтому потеря влаги организмом отрицательно сказывается на человека. Без еды можно прожить несколько недель, а вот без воды всего лишь несколько дней. Поэтому, в условиях с недостаточным количеством воды, необходимо принять меры к запасанию воды впрок. Человеческому организму для полноценного существования необходимо примерно 2 литра воды в день. Из этого расчета и необходимо делать запасы. В местах, где с запасами воды особых проблем нет, стоит позаботиться о ее чистоте и безопасности.

Давайте рассмотрим несколько добычи, сохранения и обеззараживания воды в условиях дикой природы.

Самый распространенный сбора воды – это сбор водного конденсата. Роса – естественный конденсат, чтобы его собрать, нужно ранним утром, пока не встало солнце и не высушило траву, пройтись по траве с тканью в руках. Ткань намокнет, воду можно выжать.

Днем можно собирать конденсат с веток деревьев. Для этого достаточно обвязать ветку с листьями полиэтиленовым пакетом так, чтобы узел находился сверху, иначе образовавшаяся вода вытечет. Листья деревьев испаряют воду, конденсируясь на пленке, вода будет стекать вниз. Проследи, также, чтобы не было дыр на пакете. Если есть небольшие отверстия, они не помешают сбору конденсата, главное, чтоб через них не утекла вода.

Подобный сбора воды можно применять и передвижение. Для этого, ветки с листьями срезают и помещают в пакет, который привязывается к рюкзаку.

Еще одним из распространенных добывания воды – это получение конденсата от нагретой солнцем земли. Для этого выкапывается яма по диаметру имеющейся пленки (удобно до метра) и глубиной до полуметра. В центр ямы ставиться емкость для сбора воды (желательно не менее 1 литра). Яма накрывается пленкой,закрепляется, в центр пленки ложится небольшой камень, для придания конуса (чтобы по нему стекала вода в емкость) . Для повышения производительности в яму можно положить свежесрезанные ветки деревьев или кустарников.

В сырых местах, где нет открытого источника воды, воду можно добывать из ямки, вырытой в земле.

Не стоит забывать про естественные источники влаги. Конечно, это дождь и сок деревьев. Всем известен березовый сок. К сожалению, он активно течет только весной, но его можно запасти достаточное количество за короткое время. Если нет возможности надпилить илинадрубить дерево, можно просто сломать нетолстую ветку.

Для сбора дождевой воды можно использовать все, что можно натянуть. Немножко в наклон, чтобы вода имела возможность стекать по поверхности. Можно использовать ткань (одежду), подставив ее под дождь, а после намокания, отжать воду.

Но не всякую воду можно сразу пить! Только вода из родников и высокогорых рек пригодна к употреблению сразу, остальную воду необходимо фильтровать и дезинфицировать. Об этом мы поговорим в следующей статье.

4,4(84 оценок)
Это интересно:
Новые ответы от MOGZ: Математика
logo
Вход Регистрация
Что ты хочешь узнать?
Спроси Mozg
Открыть лучший ответ