М
Молодежь
К
Компьютеры-и-электроника
Д
Дом-и-сад
С
Стиль-и-уход-за-собой
П
Праздники-и-традиции
Т
Транспорт
П
Путешествия
С
Семейная-жизнь
Ф
Философия-и-религия
Б
Без категории
М
Мир-работы
Х
Хобби-и-рукоделие
И
Искусство-и-развлечения
В
Взаимоотношения
З
Здоровье
К
Кулинария-и-гостеприимство
Ф
Финансы-и-бизнес
П
Питомцы-и-животные
О
Образование
О
Образование-и-коммуникации
etre
etre
21.11.2021 16:18 •  Математика

Прямоугольный треугольник с катетами 3 и 4 вращается вокруг меньшего катета определить полученное тело вычислить объем полученного тела

👇
Ответ:
gulzanairgalievi
gulzanairgalievi
21.11.2021

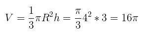
Конус.Решение в приложении:


Прямоугольный треугольник с катетами 3 и 4 вращается вокруг меньшего катета определить полученное те
Прямоугольный треугольник с катетами 3 и 4 вращается вокруг меньшего катета определить полученное те
4,7(96 оценок)
Открыть все ответы
Ответ:
kapital0202p0cd2e
kapital0202p0cd2e
21.11.2021
1 м = 0,001 км
800 м = 0,8 км

Найдём площадь участка по формуле S=ab (где a и b - стороны); S=0,8*2=1,6 км^2

1 км^2 = 100 га
1,6 км^2 = 160 га

Найдём сколько центнеров сена можно заготовить с этого поля. Для этого площадь поля в гектарах (т.к. в условии указано, что фермер заготовил 24 центнера сена с каждого гектара) умножим на 24. Получим: 160*24=3840 центнеров.

1 ц = 0,1 т
3840 ц = 384 т

Для каждой коровы нужно 2 тонны сена. Чтобы узнать, на сколько коров хватит заготовленного сена, нам нужно наше сено в тоннах разделить 2. Получим: 384/2=192

ответ: 192
4,4(60 оценок)
Ответ:
diankasht
diankasht
21.11.2021


Легкая атлетика является комплексным видом спорта, включающим в себя различные виды дисциплин. Она по праву считается королевой спорта, недаром, два из трех призывов в девизе "Быстрее, выше, сильнее" можно не задумываясь отнести к именно легкоатлетическим дисциплинам. Легкая атлетика составляла основу спортивной программы первых олимпийских игр. Свои позиции легкой атлетике удалось завоевать за счет простоты, доступности и, если хотите, естественности своих соревновательных дисциплин. Это один из основных и наиболее массовых видов спорта.

Легкая атлетика смогла завоевать свою популярность благодаря тому, что для занятия ее не требуется дорогостоящего оборудования. За счет этого, легкая атлетика смогла стать популярной даже в таких странах как Азия, Африка и Латинская Америка. Именно в связи с широким развитием, большой популярностью этого вида спорта, его постоянно прогрессирующей эволюцией легкая атлетика получила признание, по существу, во всем мире во второй половине XX века и получила название "Королевы спорта". За многие десятилетия никто не усомнился в законности этого громкого титула. Лёгкая атлетика действительно правит спортивным миром, её любят и почитают в самых отдалённых уголках планеты.


1. История возникновения легкой атлетики

Легкая атлетика - один из древнейших видов спорта. Так, еще за много веков до нашей эры некоторые народы Азии и Африки устраивали легкоатлетические соревнования. Но подлинный расцвет этого вида спорта наступил в Древней Греции. Борьбу, кулачный бой и вообще все упражнения, которые развивали сипу, греки относили к тяжелой атлетике. Ясно, что название "легкая атлетика" сегодня достаточно условное, ведь трудно назвать, например, бег на сверхдлинные дистанции — марафон или метание молота "легкими" физическими упражнениями. Древнейшим состязанием атлетов, несомненно, является бег.

Первые Олимпийские игры древности, о которых сохранилась достоверная запись, состоялись в 776 г. до н.э. Тогда в программу состязаний входил лишь бег на 1 стадий (192 м 27 см). В 724 г. до н.э. проводился бег уже на 2 стадия, а еще через четыре года состоялся первый олимпийский забег на длинную дистанцию - 24 стадия. Победа на играх ценилась очень высоко. Чемпионам оказывали большие почести, избирали на почетные должности, в их честь возводили монументы.

В средневековье крупных соревнований по легкой атлетике не проводилось, хотя имеются сведения, что в праздничные дни люди развлекались, состязаясь в метании камней, прыжках в длину и в высоту, в беге на скорость. Позднее в Западной Европе бег, прыжки и метания вошли в систему физического воспитания рыцарей.

Четких правил соревнований в этот период еще не было, поэтому на каждом соревновании они устанавливались по договоренности между спортсменами. Однако постепенно правила становились все более стабильными. Одновременно совершенствовались и легкоатлетические снаряды. После изобретения в XIV веке огнестрельного оружия от метания тяжелого камня перешли к толканию металлического пушечного ядра. Кузнечный молот в метаниях постепенно заменили молотом на цепи, а затем ядро на цепи (в настоящее время - ядро на стальной проволоке с ручкой).

Легкая атлетика как вид спорта начала складываться лишь к концу первой половины XIX века. Зафиксированы результаты в прыжке с шестом в 1789 г. (1 м 83 см, Д. Буш, Германия), в беге на одну милю в 1792 г. (5.52,0, Ф. Поуэлл, Великобритания) и 440 ярдов в 1830 г. (2.06,0, А. Вуд, Великобритания), в прыжке в высоту в 1827 г. (1.57,5, 

Это обеспечило в последующие годы (до 1952 г.) ведущее положение американских легкоатлетов в мире. К 1880—1890 г. во многих странах мира были организованы любительские легкоатлетические ассоциации, объединившие отдельные клубы, лиги и получившие права высших органов по лёгкой атлетике.


4,4(10 оценок)
Это интересно:
Новые ответы от MOGZ: Математика
logo
Вход Регистрация
Что ты хочешь узнать?
Спроси Mozg
Открыть лучший ответ