М
Молодежь
К
Компьютеры-и-электроника
Д
Дом-и-сад
С
Стиль-и-уход-за-собой
П
Праздники-и-традиции
Т
Транспорт
П
Путешествия
С
Семейная-жизнь
Ф
Философия-и-религия
Б
Без категории
М
Мир-работы
Х
Хобби-и-рукоделие
И
Искусство-и-развлечения
В
Взаимоотношения
З
Здоровье
К
Кулинария-и-гостеприимство
Ф
Финансы-и-бизнес
П
Питомцы-и-животные
О
Образование
О
Образование-и-коммуникации
kidz123
kidz123
13.08.2022 07:07 •  Математика

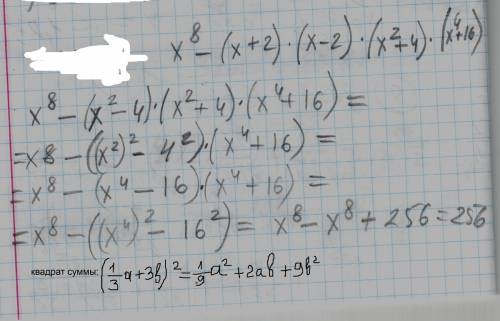
Решить ,мне сильно надо вас выражение : х(в 8 степени +2)х(х-2)х(х(в квадрате )+4)х(х(в 4 степени ) +16) = все , а не ответ только ) 2.преобразуйте в многочелен : (1/3а+3b) в квадрате = ,а не ответ только .буду сильно , большое за ранее .

👇
Ответ:
леся546576
леся546576
13.08.2022
....................................
Решить ,мне сильно надо вас выражение : х(в 8 степени +2)х(х-2)х(х(в квадрате )+4)х(х(в 4 степени )
4,7(34 оценок)
Открыть все ответы
Ответ:
zajka23oz3xl9
zajka23oz3xl9
13.08.2022
Длинна ломанной АВСД равна сумме длин АВ +ВС+СД. Периметр треугольника ВСД равен сумме длин его сторон ВС+СД+ВД. Если их результаты равны, то и стороны АВ И ВД- равны (две другие стороны- одинаковые). Сумма этих одинаковых сторон равна 64см, значит, каждая из них равна 32 см. АВ=ВД=32 см. Если сумма ВД и СД равна 58, можем найти СД, так как ВД уже нашли ВД= 58-32=26 см. Для нахождения периметра треугольника ВСД осталось найти третью сторону ВС. Она равна АВ+ d , те ВС=32+d. Итак, периметр ВСД равен сумме его длин найденных (32+d)+26+32= 90+d. ОТВЕТ 90+d,  Для второго вопроса подставляем значение d=12, то есть периметр треугольника ВСД равен 90+12=102 см. ОТВЕТ 102см
4,4(26 оценок)
Ответ:
MILAVASSILYEVA
MILAVASSILYEVA
13.08.2022
Права и обязанности участников

Полные товарищи вправе:
участвовать в управлении делами товарищества в порядке, установленном Законом и учредительным договором товарищества;
получать информацию о деятельности товарищества и знакомиться с его бухгалтерскими книгами и иной документацией в установленном его учредительными документами порядке;
принимать участие в распределении прибыли;
в любое время выйти из товарищества независимо от согласия других его участников;
получить в случае ликвидации товарищества часть имущества, оставшегося после расчетов с кредиторами, или его стоимость.
Учредительный договор может предусматривать и иные права (дополнительные права) принадлежащие участнику общества.
Полные товарищи обязаны:

участвовать в деятельности товарищества, в соответствии с условиями учредительного договора;
вносить вклады в порядке, в размерах, в составе и в сроки, которые предусмотрены Законом и учредительным договором товарищества;
не разглашать конфиденциальную информацию о деятельности товарищества.
воздержаться от совершения в своих интересах (или в интересах третьих лиц) и от своего имени сделок, однородных с теми, что составляют предмет деятельности товарищества, без согласия остальных членов товарищества.
Учредительный договор может предусматривать и иные обязанности, возложенные на участника товарищества.
Права и обязанности вкладчика товарищества на вере

Права вкладчика товарищества на вере:
получать часть прибыли товарищества, причитающуюся на его долю в складочном капитале, в порядке, предусмотренном учредительным договором;
знакомиться с годовыми отчетами и балансами товарищества;
по окончании финансового года выйти из товарищества и получить свой вклад в порядке, предусмотренном учредительным договором;
передать свою долю в складочном капитале или ее часть другому вкладчику или третьему лицу. Вкладчики пользуются преимущественным перед третьими лицами правом покупки доли (ее части) Передача всей доли иному лицу вкладчиком прекращает его участие в товариществе.
Учредительным договором товарищества на вере могут предусматриваться и иные права вкладчика.
4,5(17 оценок)
Это интересно:
Новые ответы от MOGZ: Математика
logo
Вход Регистрация
Что ты хочешь узнать?
Спроси Mozg
Открыть лучший ответ