М
Молодежь
К
Компьютеры-и-электроника
Д
Дом-и-сад
С
Стиль-и-уход-за-собой
П
Праздники-и-традиции
Т
Транспорт
П
Путешествия
С
Семейная-жизнь
Ф
Философия-и-религия
Б
Без категории
М
Мир-работы
Х
Хобби-и-рукоделие
И
Искусство-и-развлечения
В
Взаимоотношения
З
Здоровье
К
Кулинария-и-гостеприимство
Ф
Финансы-и-бизнес
П
Питомцы-и-животные
О
Образование
О
Образование-и-коммуникации
Delishte
Delishte
29.08.2021 18:47 •  Математика

1. найдите f ' ответ должен получиться: 1/3 2. найдите: f '(1) ответ должен получиться:

👇
Ответ:
hatidzemustafaeva
hatidzemustafaeva
29.08.2021
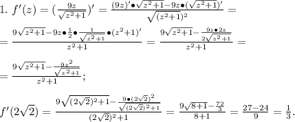
1.\ f'(z)=(\frac{9z}{\sqrt{z^2+1}})'=\frac{(9z)'\bullet\sqrt{z^2+1}-9z\bullet(\sqrt{z^2+1})'}{\sqrt{(z^2+1})^2}=\\\\=\frac{9\sqrt{z^2+1}-9z\bullet\frac{1}{2}\bullet\frac{1}{\sqrt{z^2+1}}\bullet(z^2+1)'}{z^2+1}=\frac{9\sqrt{z^2+1}-\frac{9z\bullet2z}{2\sqrt{z^2+1}}}{z^2+1}=\\\\=\frac{9\sqrt{z^2+1}-\frac{9z^2}{\sqrt{z^2+1}}}{z^2+1};\\\\f'(2\sqrt2)=\frac{9\sqrt{(2\sqrt2)^2+1}-\frac{9\bullet(2\sqrt2)^2}{\sqrt{(2\sqrt2)^2+1}}}{(2\sqrt2)^2+1}=\frac{9\sqrt{8+1}-\frac{72}{3}}{8+1}=\frac{27-24}{9}=\frac{1}{3}.

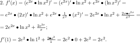
2.\ f'(x)=(e^{2x}\bullet\ln x^2)'=(e^{2x})'\bullet\ln 
x^2+e^{2x}\bullet(\ln x^2)'=\\\\=e^{2x}\bullet(2x)'\bullet\ln 
x^2+e^{2x}\bullet\frac{1}{x^2}\bullet (x^2)'=2e^{2x}\bullet\ln 
x^2+\frac{2x\bullet e^{2x}}{x^2}=\\\\=2e^{2x}\bullet\ln 
x^2+\frac{2e^{2x}}{x};\\\\f'(1)=2e^{2}\bullet\ln 1^2+\frac{2\bullet 
e^{2}}{1}=2e^2\bullet0+2e^2=2e^2.
4,4(68 оценок)
Открыть все ответы
Ответ:
xotmirov1
xotmirov1
29.08.2021
1-ый час 30% всего
2-ой час 40% остатка;
3-ий час - остальной
разница 28 км  3-ий > 2-го
весь путь ? км
Решение:
100% весь путь;
100 - 30 = 70 (%) остаток в % всего пути после первого часа;
17 * 40 = 28 (%) путь во второй час в % от всего пути;
30 + 28 = 58 (%) путь за первый и второй час в % от всего;
100 - 58 = 42 (5) путь за третий час в % от всего пути;
42 - 28 = 14 (%) разница между третьим и вторым часом в % всего пути;
14 % = 28 км по условию.
Находим число по проценту: 
(28:14)*100 = 200 (км)
ответ: весь путь  200 км
4,8(69 оценок)
Ответ:
1) 5(х-2)-3(2-2х)<=4                                                                                     5х-10-6+6х<=4                                                                                         11х-16<=4                                                                                                 11х<=4+16                                                                                               11х<=20                                                                                                   x<= 20:11                                                                                                 x<=20/11                                                                                                           x<=1 9/11.                                                                                                    
4,8(29 оценок)
Это интересно:
Новые ответы от MOGZ: Математика
logo
Вход Регистрация
Что ты хочешь узнать?
Спроси Mozg
Открыть лучший ответ