М
Молодежь
К
Компьютеры-и-электроника
Д
Дом-и-сад
С
Стиль-и-уход-за-собой
П
Праздники-и-традиции
Т
Транспорт
П
Путешествия
С
Семейная-жизнь
Ф
Философия-и-религия
Б
Без категории
М
Мир-работы
Х
Хобби-и-рукоделие
И
Искусство-и-развлечения
В
Взаимоотношения
З
Здоровье
К
Кулинария-и-гостеприимство
Ф
Финансы-и-бизнес
П
Питомцы-и-животные
О
Образование
О
Образование-и-коммуникации
dykbguojd
dykbguojd
12.11.2022 13:39 •  Математика

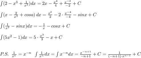
Вычислите неопределённый интеграл! 1) (2-x^3+1/x^3)dx 2) (x-2/x^5+ cos a)dx 3) (1/x^2-sin x)dx 4) (5x^2-1)dx

👇
Ответ:
sddnblck
sddnblck
12.11.2022
\int (2-x^3+\frac{1}{x^3})dx=2x-\frac{x^4}{4}+\frac{x^{-2}}{-2}+C\\\\\int (x-\frac{2}{x^5}+cosa)\, dx=\frac{x^2}{2}-2\cdot \frac{x^{-4}}{-4}-sinx+C\\\\\int (\frac{1}{x^2}-sinx)dx=-\frac{1}{x}-cosx+C\\\\\int (5x^2-1)dx=5\cdot \frac{x^3}{3}-x+C\\\\\\P.S.\; \; \frac{1}{x^{n}}=x^{-n}\; \; \int \frac{1}{x^{n}}dx=\int x^{-n}dx=\frac{x^{-n+1}}{-n+1}+C=\frac{1}{(-n+1)\cdot x^{n-1}}+C
4,4(60 оценок)
Открыть все ответы
Ответ:
Missxart
Missxart
12.11.2022

Пошаговое объяснение:

5ч 23мин + 24ч 17мин

1 вариант.

Переведём часы в минуты

1ч = 60мин

5ч = 300мин

24ч = 1440мин

(300 + 23) + (1440 + 17) = 323 + 1457 =

= 1780мин = 29ч 40мин

2 вариант попроще

Просто складываем отдельно часы и отдельно минуты

5ч 23мин + 24ч 17мин = 29ч + 40мин

14ч 39с + 35мин 11с

Вариант 1

Переведём часы в минуты

1ч = 60мин

14ч = 840мин

840мин 39с + 35мин 11с =875мин 50с

= 14ч 35мин 50с

Вариант 2

Просто складываем поочерёдно.

В этом примере это легко сделать

14ч 39с + 35мин 11с = 14ч + 35мин +

(35с + 11с) = 14ч 35мин 50с

4,5(50 оценок)
Ответ:
Yulasha22
Yulasha22
12.11.2022

32см

Пошаговое объяснение:

Рассматриваем трапецию ABCD - прямоугольная (чтобы было понятней: AB - меньшее основание, DC - большее основание, угол С=45°). Проведём высоту BK к большему основанию из вершины угла B. Получили прямоугольник ADBK. По свойству противоположных сторон BK=AD=16см, AB=DK=16см. Теперь рас-м треугольник BCK - прямоугольный. Т. к. угол C=45°, то найдём угол КВС: (сумма углов тр-ка - 180°) 180°-(90°+45°)= 45°. Следовательно, тр-к BCK  -равнобед-й, ВК=СК=16см. DC = DK+KC=16+16=32см.

4,6(54 оценок)
Новые ответы от MOGZ: Математика
logo
Вход Регистрация
Что ты хочешь узнать?
Спроси Mozg
Открыть лучший ответ