М
Молодежь
К
Компьютеры-и-электроника
Д
Дом-и-сад
С
Стиль-и-уход-за-собой
П
Праздники-и-традиции
Т
Транспорт
П
Путешествия
С
Семейная-жизнь
Ф
Философия-и-религия
Б
Без категории
М
Мир-работы
Х
Хобби-и-рукоделие
И
Искусство-и-развлечения
В
Взаимоотношения
З
Здоровье
К
Кулинария-и-гостеприимство
Ф
Финансы-и-бизнес
П
Питомцы-и-животные
О
Образование
О
Образование-и-коммуникации
1qq
1qq
26.12.2020 00:11 •  Математика

Среднее арифметическое трёх чисел равно 0,48.первое число равно 0,4 а второе в 1,8 раза больше первого.найти третье число. и ещё среднее арифметическое двух чисел равно 9,7, а среднее арифметическое четырёх других чисел равно 10,6.найдите среднее арифметическое этих шести чисел.

👇
Ответ:
mironovvladimir1
mironovvladimir1
26.12.2020
1)
\frac{a+b+c}{3}=0,48
a=0,4
b=1,8·0,4=7,2

\frac{0,4+7,2+c}{3}=0,48 \\ \\ c=3\cdot0,48-0,4-7,2 \\ c=-6,16

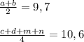
2)\frac{a+b}{2}=9,7 \\ \\ \frac{c+d+m+n}{4}=10,6
найти
\frac{a+b+c+d+m+n}{6}

a+b=2·9,7=19,4
c+d+m+n=10,6·4=42,4

\frac{a+b+c+d+m+n}{6}= \frac{19,4+42,4}{6}= \frac{61,8}{6}=10,3
4,7(20 оценок)
Открыть все ответы
Ответ:
raksanaasifovna
raksanaasifovna
26.12.2020

Костя оказался прав - 25

Пошаговое объяснение:

Задача по теме делимость.

Смоделируем ситуацию, составим  уравнение и проверим.

Пусть Ирина принесла Х шаров.

Получается Лена приннесла тоже Х шаров

Тогда Катя принесла в три раза больше, то есть 3Х шааров.


В сумме получается Х+Х+3Х= ?

Равно либо 25 либо 26. Давайте оценим чему может быть равна эта сумма.

Х+Х+3Х=5Х  --- упростили левую часть.

5Х=26 либо 5Х=25.

26 не делится нацело на 5, поэтому Х в первом уравнении число не целое, а дробное. А может ли быть дробным количество шаров. Кусочек шара? по тексту предполагается что шары для уукрашения, всё таки надутые и кусочек такого шара представить будет сложно)


А в случае 5Х=25, Х будет равен ровно 5.  Этот ответ как разз правдоподобен.

4,4(30 оценок)
Ответ:
alinadogarowa
alinadogarowa
26.12.2020
Терроризм — политика, основанная на систематическом применении террора. Синонимами слова «террор» (лат. terror — страх, ужас) являются слова «насилие» , «запугивание» , «устрашение» . Общепринятого юридического определения этого понятия не существует. В российском праве (УК, ст. 205), определяется как идеология насилия и практика воздействия на общественное сознание, на принятие решений органами государственной власти, органами местного самоуправления или международными организациями, связанные с устрашением населения и/или иными формами противоправных насильственных действий. В праве США — как предумышленное, политически мотивированное насилие, совершаемое против мирного населения или объектов субнациональными группами или подпольно действующими агентами, обычно с целью повлиять на настроение общества.
 

Экстремизм (от фр. extremisme, от лат. extremus — крайний) — приверженность крайним взглядам и, в особенности, мерам (обычно в политике) . Среди таких мер можно отметить провокацию беспорядков, гражданское неповиновение, террористические акции, методы партизанской войны. Наиболее радикально настроенные экстремисты часто отрицают в принципе какие-либо компромиссы, переговоры, соглашения. Росту экстремизма обычно социально-экономические кризисы, резкое падение жизненного уровня основной массы населения, тоталитарный политический режим с подавлением властями оппозиции, преследованием инакомыслия. [1] В таких ситуациях крайние меры могут стать для некоторых лиц и организаций единственной возможностью реально повлиять на ситуацию, особенно если складывается революционная ситуация или государство охвачено длительной гражданской войной — можно говорить о «вынужденном экстремизме» .

В общем получается, что экстремизм более широкое понятие т. к. террористические акции - это только одна из мер экстремизма. 
4,6(61 оценок)
Новые ответы от MOGZ: Математика
logo
Вход Регистрация
Что ты хочешь узнать?
Спроси Mozg
Открыть лучший ответ