М
Молодежь
К
Компьютеры-и-электроника
Д
Дом-и-сад
С
Стиль-и-уход-за-собой
П
Праздники-и-традиции
Т
Транспорт
П
Путешествия
С
Семейная-жизнь
Ф
Философия-и-религия
Б
Без категории
М
Мир-работы
Х
Хобби-и-рукоделие
И
Искусство-и-развлечения
В
Взаимоотношения
З
Здоровье
К
Кулинария-и-гостеприимство
Ф
Финансы-и-бизнес
П
Питомцы-и-животные
О
Образование
О
Образование-и-коммуникации
CoralineGilmor
CoralineGilmor
25.01.2022 20:49 •  Математика

За десять карандашей отдали столько же денег, сколько за две ручки и блокнот. а за 4 карандаша и одну ручку отдали столько же, сколько за один блокнот. сколько карандашей надо купить, чтобы их стоимость была равна стоимости одного блокнота?

👇
Ответ:
lidaat
lidaat
25.01.2022
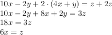
Пусть карандаш стоит x руб, ручка y руб, блокнот z руб. Тогда
\begin{cases}10x=2y+z\\4x+y=z\end{cases}\Rightarrow\begin{cases}10x-2y=z\\4x+y=z\end{cases}
Прибавим к первому уравнению удвоенное второе. Получим
10x-2y+2\cdot(4x+y)=z+2z\\10x-2y+8x+2y=3z\\18x=3z\\6x=z
Для того, чтобы стоимость карандашей была равна стоимости одного блокнота, нужно купить 6 карандашей.
4,6(68 оценок)
Открыть все ответы
Ответ:
Nemp2
Nemp2
25.01.2022
Кожну  осінь золоте оздоблення дерев і чагарників засинає галявини і доріжки в садах. Невже вся ця краса марно пропадає? Користь від неї або шкоду і від листя треба позбавлятися? Давайте розглянемо користь та шкода: Листя справді треба прибирати з-під плодових дерев і чагарників, оскільки велика ймовірність збереження на них збудників деяких хвороб рослин; Листя шкодять газонної трави та іншим дрібним рослинам, за винятком великих багаторічників, тому з газону або галявини листя слід прибирати обов'язково. Але також вірно, що: Для дерев і чагарників половина надійшли за сезон азоту, фосфору, калію та інших елементів восени відчужуються з листопадом; Ймовірно, ви і сам гали, що листя залишилися на дахах, у водостоках швидко перетворюються в жирну чорну масу, яку люблять рослини. Подібне відбувається і на землі - до початку літа ви практично не знайдете торішніх опалого листя; У розкладаються листі розмножується багато мікроорганізмів, хробаків та іншої живності корисною для саду, а збудники хвороб гинуть; Шар листя не дає проростати бур'янам за рідкісним винятком; Нарешті, спалювання опалого листя нікому не додає здоров'я. Що відбувається з опалим листям? Навесні, після танення снігу всі голо, багато місця покриті минулорічної опалим листям. Але проходить трохи часу, починає зеленіти трава, розпускаються дерева і торішнє листя раптом якось несподівано зникає без сліду.
4,7(2 оценок)
Ответ:
Из половины оставшейся пряжи и 50 г связали шапку и 250 г осталось.Значит, 250+50 это и есть половина оставшейся пряжи.  50+200+50=300 - остаток, рукавички, 50 г. от шапки
300+300=600 - половины оставшейся пряжи + остаток, рукавички, 50 г. от шапки
600+100=700 - добовляем 100 г. на  безрукавку
700+700=1400 - складывем половинки 
ответ: 1) 1400 г. пряжи купили. 2) на шапку ушло 350 г. пряжи.х-(0,5х+100)-0,5*(х-0,5х-100)-50-200=50
х-0,5х-100-0,25х+50-50-200=50
0,25х-300=500
25х=50+300
х=350/0,25
х=1400г купили пряжи
1/2*1400+100=800г на безрукавку
1400-800=600г осталось
1/2*600+50=350г на шапку
4,4(74 оценок)
Это интересно:
Новые ответы от MOGZ: Математика
logo
Вход Регистрация
Что ты хочешь узнать?
Спроси Mozg
Открыть лучший ответ