15 книг
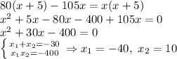
80000/x-105000/(x+5)=1000
(80000/x-105000/(x+5))*x=1000*x
25000*(16-x)/(x+5)=1000x
25000*(16-x)/(x+5)*(x+5)=1000x*(x+5)
400000-25000x=1000x²+5000x
-1000x²-30000x+400000=0
D=-30000²-4*(-1000)*400000=2500000000
x1=(√2500000000-(-30000))/(2*(-1000))=-40
x2=(-√2500000000-(-30000))/(2*(-1000))=10
10+5=15
Средняя стоимость книг перед второй покупкой равна
Средняя стоимость книг после второй покупки равна
Тогда по условию задачи получаем, что
По условию задачи x ≠ -5; 0, поэтому можем домножить обе части на x(x+5)
Корень x = -40 не удовлетворяет смыслу задачи. Значит, в первый раз он купил 10 книг. Учитывая книги, которые он купил потом, получаем ответ 15.
ответ: 15