М
Молодежь
К
Компьютеры-и-электроника
Д
Дом-и-сад
С
Стиль-и-уход-за-собой
П
Праздники-и-традиции
Т
Транспорт
П
Путешествия
С
Семейная-жизнь
Ф
Философия-и-религия
Б
Без категории
М
Мир-работы
Х
Хобби-и-рукоделие
И
Искусство-и-развлечения
В
Взаимоотношения
З
Здоровье
К
Кулинария-и-гостеприимство
Ф
Финансы-и-бизнес
П
Питомцы-и-животные
О
Образование
О
Образование-и-коммуникации
aleksandrakova4
aleksandrakova4
17.12.2020 18:45 •  Математика

Решите линейное уравнение y=2x x+y=6

👇
Ответ:
Timur77713337
Timur77713337
17.12.2020
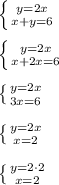
\left \{ {{y=2x} \atop {x+y=6}} \right. \\ \\ \left \{ {{y=2x} \atop {x+2x=6}} \right. \\ \\ \left \{ {{y=2x} \atop {3x=6}} \right. \\ \\ \left \{ {{y=2x} \atop {x=2}} \right. \\ \\ \left \{ {{y=2\cdot2} \atop {x=2}} \right. \\ \\
ответ. (2;4)
4,4(29 оценок)
Ответ:
Trashers228
Trashers228
17.12.2020
У=2х
У=6-х
2х=6-х
Х=2
У=4
ответ:(2,4) точка пересечения графиков ( решение линейного уравнения)
4,4(21 оценок)
Открыть все ответы
Ответ:
Ruslan812
Ruslan812
17.12.2020
Адача 1.
Площадь колхозного поля составляет 12 га. 2/3 площади поля засеяны пшеницей, а 1/3 площади поля засеяна рожью. Определите в га сколько площади занимает пшеница и рожь в отдельности.
Решение:
12*2/3 = 8 га засеяно пшеницей
12*1/3 = 4 га засеяно рожью

Задача 2
В магазин привезли 50 кг апельсинов. Иван купил 1/5 от всего количества привезенных в магазин апельсинов, Степан купил 1/4 от оставшегося количества. Сколько всего было продано апельсинов двум ребятам?
Решение:
50*1/5 = 10 кг - купил Иван
50-10 = 40 кг - осталось в магазине
40*1/4 = 10 кг - купил Степан
10+10 = 20 кг

Задача 3
Тамара Ивановна испекла тор на заказ весом1200 гр. На Дне рождения Танюши Свете досталось 1/3 торта, Ване досталось 3/8 торта, а Кате досталось 1/6 торта. Сколько грамм торта получил каждый гость?
Решение:
1200*1/3 = 400 гр. получила Света
1200*3/8 = 450 гр. получил Ваня
1200*1/6 = 200 гр. получила Катя
4,5(23 оценок)
Ответ:
kunicyna1805
kunicyna1805
17.12.2020
1) 1.206 - 825 3/4 = 1.205 4/4 - 825 3/4 = 380 1/4 или 380,25 (кг) - столько продали яблок  в третий день.
2) 1.206 - 849 1/5 = 1.205 5/5 - 849 1/5 = 356 4/5 или 356,8 (кг) - столько яблок продали в первый день.
3) 380 1/4 + 356 4/5 = 380 5/20 + 356 16/20 = 736 21/20 = 737 1/20 или 737,05 (кг) - столько яблок продали в первый и третий день вместе.
4) 1.206 - 737 1/20 = 1.205 20/20 - 737 1/20 = 468 19/20 или 468,95 (кг) - столько яблок продали во второй день.

ответ: 468 19/20 или 468,95 кг яблок продали во второй день.
4,4(15 оценок)
Это интересно:
Новые ответы от MOGZ: Математика
logo
Вход Регистрация
Что ты хочешь узнать?
Спроси Mozg
Открыть лучший ответ