М
Молодежь
К
Компьютеры-и-электроника
Д
Дом-и-сад
С
Стиль-и-уход-за-собой
П
Праздники-и-традиции
Т
Транспорт
П
Путешествия
С
Семейная-жизнь
Ф
Философия-и-религия
Б
Без категории
М
Мир-работы
Х
Хобби-и-рукоделие
И
Искусство-и-развлечения
В
Взаимоотношения
З
Здоровье
К
Кулинария-и-гостеприимство
Ф
Финансы-и-бизнес
П
Питомцы-и-животные
О
Образование
О
Образование-и-коммуникации
kerimagaevakk
kerimagaevakk
09.12.2020 12:10 •  Математика

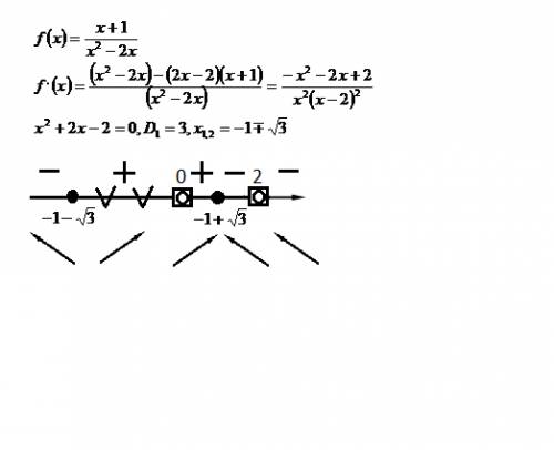
Укажите целые числа принадлежащие промежутку(промежуткам) возрастания функции f(x)=(x+1)/(x^2-2x)

👇
Ответ:
berezniki14
berezniki14
09.12.2020
ответ: -2, -1.
Решение смотри на прикреплённом файле.
Укажите целые числа принадлежащие промежутку(промежуткам) возрастания функции f(x)=(x+1)/(x^2-2x)
4,8(65 оценок)
Открыть все ответы
Ответ:
satana2020
satana2020
09.12.2020

№ 666

Пусть Х км - это все расстояние

тогда скорость велосипедиста - Х/4 км/ч

         скорость туриста -  Х/12 км/ч

Найдем их скорость сближения, для этого

Х/4 + Х/12 = 3Х/12 + Х/12 = 4Х/12 = Х/3 км/ч

Теперь узнаем, через сколько часов они втретятся, для этого поделим все расстояние на скорость сближения:

Х:Х/3 = 3 часа

 

№ 667(по аналогии с предыдущей задачей)

Пусть Х км - все расстояние

тогда Х/5 км/ч - скорость 1-го пешехода

         Х/3 км/ч - скорость 2-го пешехода

Найдем их скорость сближения, для этого

Х/5 + Х/3 = 3Х/15 + 5Х/15 = 8Х/15 км/ч

Теперь из всего расстояние вычтем расстояние, на которое они сблизятся за 1 час

Х-8Х/15 = 15Х/15 - 8Х/15 = 7/15 Х

Соответственно, через 1 час между ними окажется 7/15 всего пути.

 

4,4(13 оценок)
Ответ:
wassilina
wassilina
09.12.2020

0,5(x-3) =0,6(4+х)-2,6                                  0,3(х-2)=0,6+0,2(x+4)

0,5х-1,5=2,4+0,6х-2,6                                   0,3х-0,6=0,6+0,2х+0,8 

0,5х-0,6х=2,4-2,6+1,5                                   0,3х-0,2х=0,6+0,8+0,6

 -0,1х=1,3                                                     0,1х=2

х=1,3:(-0,1)                                                    х=2:0,1

х= -13                                                             х= 20 

Проверка:                                                   Проверка:

8=8                                                                  5,4=5,4

 

 

 |-0,7|*|y|=|-0,42|

0,7  |y|=0,42

  |y|=0,42:0,7

  |y|= 0,6, так как это модуль,то

у=0,6       и  у=-0,6 

4,7(18 оценок)
Это интересно:
Новые ответы от MOGZ: Математика
logo
Вход Регистрация
Что ты хочешь узнать?
Спроси Mozg
Открыть лучший ответ